【药物名称】(-)-cis-MR-22, (-)-MR-22
化学结构式(Chemical Structure):
参考文献No.680656
标题:Substituted 1-phenyl-2-cyclopropylmethylamines with high affinity and selectively for sigma sites
作者:Ronsisvalle, G.; Marrazzo, A.; Prezzavento, O.; Pasquinucci, L.; Falcucci, B.; Di Toro, R.D.; Spampinato, S.
来源:Bioorg Med Chem 2000,8(6),1503
合成路线图解说明:

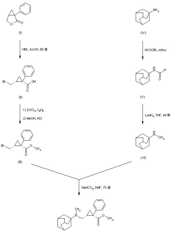
Opening of the known lactone (I) with HBr in HOAc produces the racemic cis bromo-acid (II). Acid (II) is then converted to the corresponding methyl ester (III) by chlorination with SOCl2, followed by treatment with methanolic HCl. Acylation of 1-adamantanamine (IV) with ethyl formate yields the formamide (V), which is subsequently reduced to the N-methyl amine (VI) employing LiAlH4 in THF. Finally, alkylation of the secondary amine (VI) with bromo ester (III) in the presence of NaHCO3 in hot DMF gives rise to the title compound.

参考文献No.682113
标题:Synthesis of (+)- and (-)-cis-2-[(1-adamantylamino)-methyl]-1-phenylcyclopropane derivatives as high affinity probes for sigma1 and sigma2 binding sites
作者:Marrazzo, A.; Prezzavento, O.; Pappalardo, M.S.; Bousquet, E.; Iadanza, M.; Pike, V.W.; Ronsisvalle, G.
来源:Farmaco 2002,57(1),45
合成路线图解说明:

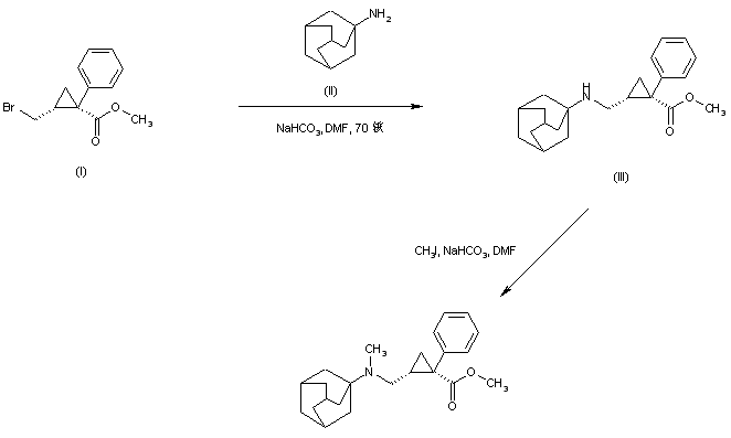
In a closely related method, bromo-ester (I) is condensed with 1-adamantanamine (II) in hot DMF to afford amino ester (III). The secondary amine of (III) is then alkylated with iodomethane to produce the title compound.

Drug Information Express,Drug R&D,Chemical Database,Patent Search.
Copyright © 2006-2026 Drug Future. All rights reserved.Contact Us