【药物名称】S-34176, S-34176-1
化学结构式(Chemical Structure):
参考文献No.41649
标题:Nitrone derivs., process for their preparation and pharmaceutical compsns. containing them
作者:Dhainaut, A.; Lestage, P.; Lockhart, B.; Tizot, A.; Goldstein, S. (ADIR et Cie.)
来源:CA 2274621; EP 0967207; FR 2780404; JP 2000026428; US 6034250
合成路线图解说明:

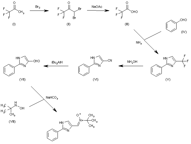
The bromination of 1,1,1-trifluoroacetone (I) according to McBee and Burton gives 3,3-dibromo-1,1,1-trifluoroacetone (II), which is hydrolyzed with aqueous NaOAc to the glyoxal (III). The cyclization of (III) with benzaldehyde (IV) and ammonia in methanol yields 2-phenyl-4-(trifluoromethyl)-1H-imidazole (V), which is converted into the carbonitrile (VI) by reaction with hot aqueous ammonium hydroxide. The reduction of (VI) with diisobutylaluminum hydride in THF affords the carbaldehyde (VII), which is finally condensed with N-tert-butylhydroxylamine (VIII) by means of NaHCO3 in hot ethanol.

合成路线图解说明:

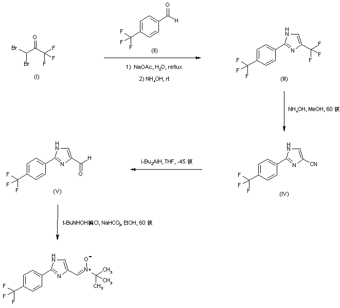
1,1-Dibromo-3,3,3-trifluoroacetone (I) is treated with a hot aqueous solution of sodium acetate, and subsequently condensed with 4-(trifluoromethyl)benzaldehyde (II) in the presence of ammonium hydroxide to furnish the trifluoromethyl imidazole (III). The imidazole trifluoromethyl group of (III) is then selectively converted to nitrile (IV) upon heating with a methanolic solution of ammonium hydroxide. Reduction of the cyano group of (IV) employing DIBAL in cold THF leads to aldehyde (V). This is finally converted to the target nitrone by condensation with N-tert-butyl hydroxylamine.

参考文献No.590224
标题:Synthesis, structure, and neuroprotective properties of novel imidazolyl nitrones
作者:Dhainaut, A.; Tizot, A.; Raimbaud, E.; Lockhart, B.; Lestage, P.; Goldstein, S.
来源:J Med Chem 2000,43(11),2165
合成路线图解说明:

The bromination of 1,1,1-trifluoroacetone (I) according to McBee and Burton gives 3,3-dibromo-1,1,1-trifluoroacetone (II), which is hydrolyzed with aqueous NaOAc to the glyoxal (III). The cyclization of (III) with benzaldehyde (IV) and ammonia in methanol yields 2-phenyl-4-(trifluoromethyl)-1H-imidazole (V), which is converted into the carbonitrile (VI) by reaction with hot aqueous ammonium hydroxide. The reduction of (VI) with diisobutylaluminum hydride in THF affords the carbaldehyde (VII), which is finally condensed with N-tert-butylhydroxylamine (VIII) by means of NaHCO3 in hot ethanol.

合成路线图解说明:

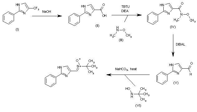
The hydrolysis of 2-phenyl-4-(trifluoromethyl)-1H-imidazole (I) with 1N NaOH gives 2-phenyl-1H-imidazole-4-carboxylic acid (II), which is condensed with N,O-dimethylhydroxylamine (III) by means of TBTU and DIEA in dichloromethane to yield the amide (IV). The reduction of (IV) with DIBAL in THF affords 2-phenyl-1H-imidazole-4-carbaldehyde (V), which is finally condensed with N-tert-butylhydroxylamine (VI) by means of NaHCO3 in hot ethanol to provide the target nitrone.

合成路线图解说明:

1,1-Dibromo-3,3,3-trifluoroacetone (I) is treated with a hot aqueous solution of sodium acetate, and subsequently condensed with 4-(trifluoromethyl)benzaldehyde (II) in the presence of ammonium hydroxide to furnish the trifluoromethyl imidazole (III). The imidazole trifluoromethyl group of (III) is then selectively converted to nitrile (IV) upon heating with a methanolic solution of ammonium hydroxide. Reduction of the cyano group of (IV) employing DIBAL in cold THF leads to aldehyde (V). This is finally converted to the target nitrone by condensation with N-tert-butyl hydroxylamine.

Drug Information Express,Drug R&D,Chemical Database,Patent Search.
Copyright © 2006-2026 Drug Future. All rights reserved.Contact Us