【药物名称】BGC-20-1178, RS-1178
化学结构式(Chemical Structure):
参考文献No.55967
标题:Pyrrolotriazolopyrimidine derivs. and process for the preparation thereof
作者:Takagi, H.; Sato, Y.; Shimoji, Y.; Kumakura, S. (Sankyo Co., Ltd.)
来源:US 4007189
合成路线图解说明:

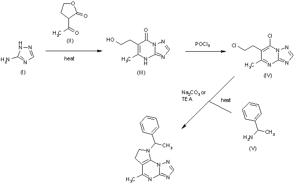
The cyclization of 1,2,4-triazol-5-amine (I) with 3-acetyltetrahydrofuran-2-one (II) by heating at 155 C gives the triazolopyrimidinone (III) (1), which is treated with refluxing POCl3 to yield 7-chloro-6-(2-chloroethyl)5-methyl-1,2,4-triazolo[1,5-a]pyrimidine (IV). Finally this compound is cyclized with 1-phenylethylamine (V) by means of Na2CO3 in refluxing ethanol to afford the target pyrrolo-triazolo-pyrimidine derivative.

参考文献No.680660
标题:Studies on cardiovascular agents. 6. Synthesis and coronary vasodilating and antihypertensive activities of 1,2,4-triazolo[1,5-a]pyrimidines fused to heterocyclic systems
作者:Sato, Y.; Shimoji, Y.; Fujita, H.; Nishino, H.; Mizuno, H.; Kobayashi, S.; Kumakura, S.
来源:J Med Chem 1980,23(8),927
合成路线图解说明:

The cyclization of 1,2,4-triazol-5-amine (I) with 3-acetyltetrahydrofuran-2-one (II) by heating at 155 C gives the triazolopyrimidinone (III) (1), which is treated with refluxing POCl3 to yield 7-chloro-6-(2-chloroethyl)5-methyl-1,2,4-triazolo[1,5-a]pyrimidine (IV). Finally this compound is cyclized with 1-phenylethylamine (V) by means of Na2CO3 in refluxing ethanol to afford the target pyrrolo-triazolo-pyrimidine derivative.

Drug Information Express,Drug R&D,Chemical Database,Patent Search.
Copyright © 2006-2026 Drug Future. All rights reserved.Contact Us