【药物名称】RO-3202904
化学结构式(Chemical Structure):
参考文献No.52489
标题:Substd. 1-aminoalkyl-lactams and their use as muscarinic receptor antagonists
作者:Maag, H.; Fisher, L.E.; Prince, A.; Repke, D.B.; Dvorak, C.A.; Harris, R.N. III; Green, K.L.; Stabler, R.S. (F. Hoffmann-La Roche AG)
来源:JP 2003534330; US 2002004501; US 6667301; WO 0190081
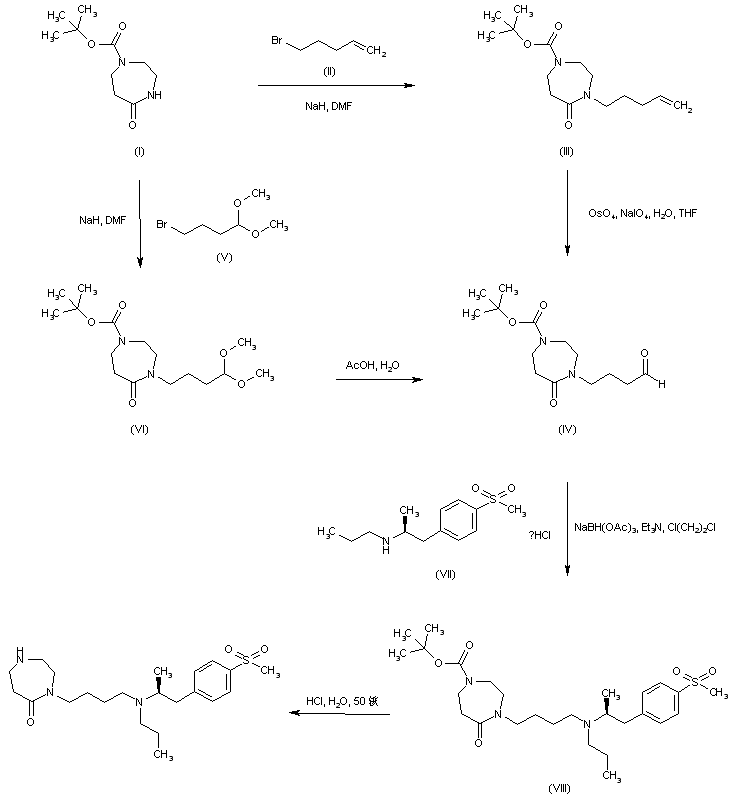
合成路线图解说明:

Alkylation of 1-Boc-1,4-diazepine-5-one (I) with 5-bromo-1-pentene (II) in the presence of NaH provides the N-pentenyl diazepinone (III). Subsequent oxidative cleavage of the olefin double bond by means of NaIO4 in the presence of a catalytic amount of OsO4 furnishes aldehyde (IV). Alternatively, alkylation of diazepinone (I) with 4-bromo-1,1-dimethoxybutane (V) yields acetal (VI), which is further hydrolyzed to aldehyde (IV) in aqueous AcOH. Reductive amination of aldehyde (IV) with (S) N-propyl-2-(4-methanesulfonylphenyl)-1-methylethylamine (VII) leads to the tertiary amine (VIII). The N-Boc protecting group of (VIII) is finally cleaved by heating in 6 N HCl.

合成路线图解说明:

4-Bromothioanisole (I) is converted into the corresponding Grignard reagent (II), which is subsequently condensed with N-Cbz-alanine morpholide (III) to furnish the N-Cbz aminoketone (IV). Keto group reduction in (IV) by means of NaBH4, followed by intramolecular cyclization in boiling toluene leads to the chiral oxazolidinone (V). After oxidation of the methylsulfanyl group of (V) to the corresponding sulfone (VI), N-alkylation with the iodobutyl diazepinone (VII) in the presence of potassium tert-amyloxide furnishes adduct (VIII). The oxazolidinone ring of (VIII) is then subjected to reductive cleavage under transfer hydrogenation conditions to produce the secondary amine (IX). Conversion of amine (IX) into the N-propyl derivative (X) is effected by reductive alkylation with propionaldehyde in the presence of NaBH(OAc)3. The N-Boc group of (X) is finally cleaved under acidic conditions to afford the title compound.

Drug Information Express,Drug R&D,Chemical Database,Patent Search.
Copyright © 2006-2026 Drug Future. All rights reserved.Contact Us