【药物名称】INS-48848
化学结构式(Chemical Structure):
参考文献No.53790
标题:Method for reducing intraocular pressure using indole derivs.
作者:Yerxa, B.R.; Peterson, W.M.; Pintor, J.J.; Peral, M.A.; Plourde, R. Jr.; Brown, E.G. (Inspire Pharmaceuticals, Inc.; Universidad Complutense de Madrid)
来源:WO 0209702
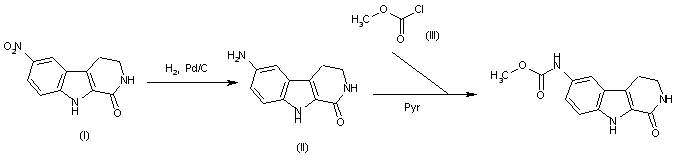
合成路线图解说明:

The reduction of 6-nitro-2,3,4,9-tetrahydro-1H-pyrido[3,4-b]indol-1-one (I) with H2 over Pd/C in ethanol gives the corresponding 6-amino derivative (II), which is condensed with methyl chloroformate (III) and pyridine to afford the target carbamate.

Drug Information Express,Drug R&D,Chemical Database,Patent Search.
Copyright © 2006-2026 Drug Future. All rights reserved.Contact Us