【药物名称】Gastrazole, JB-95008
化学结构式(Chemical Structure):
参考文献No.26252
标题:Gastrin and CCK receptor ligands
作者:Kalindjian, S.B.; Steel, K.I.M.; Pether, M.J.; Davies, J.M.R.; Low, C.M.R.; Hudson, M.L.; Buck, I.M.; McDonald, I.M.; Dunstone, D.J.; Tozer, M.J. (James Black Foundation Ltd.)
来源:EP 0720601; EP 0763026; GB 2290539; JP 1997502430; JP 1998504525; US 5795907; US 5912260; US 5919829; WO 9504720; WO 9532949
合成路线图解说明:

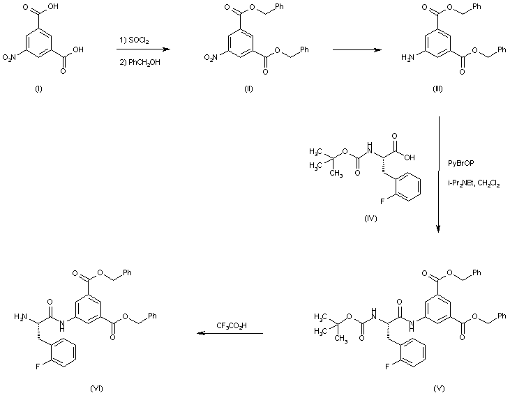
5-Nitroisophthalic acid (I) is converted into the dibenzyl ester (II) via activation with SOCl2. After nitro group reduction in (II), the resultant amine (III) is coupled with N-Boc-L-2-fluorophenylalanine (IV) by means of PyBrOP and DIEA to furnish amide (V). Subsequent acidic cleavage of the N-Boc protecting group of (V) provides amine (VI). (1)

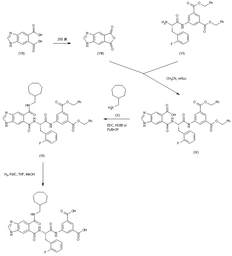
合成路线图解说明:

Thermal dehydration of benzimidazole-5,6-dicarboxylic acid (VII) provides the cyclic anhydride (VIII). Subsequent condensation of (VIII) with amine (VI) leads to the amido-acid (IX), which is further coupled to cycloheptylmethylamine (X), yielding the benzimidazole dicarboxamide (XI). Finally, catalytic hydrogenolysis of the benzyl ester groups of (XI) affords the target isophthalic acid derivative. (1,2)

参考文献No.680445
标题:Non-peptide cholecystokinin-B/gastric receptor antagonists based on bicyclic, heteroaromatic skeletons
作者:Kalindjian, S.B.; Buck, I.M.; Davies, J.M.R.; Dunstone, D.J.; Hudson, M.L.; Low, C.M.R.; McDonald, I.M.; Pether, M.J.; Steel, K.I.M.; Tozer, M.J.; Vinter, J.G.
来源:J Med Chem 1996,39(9),1806
合成路线图解说明:

Thermal dehydration of benzimidazole-5,6-dicarboxylic acid (VII) provides the cyclic anhydride (VIII). Subsequent condensation of (VIII) with amine (VI) leads to the amido-acid (IX), which is further coupled to cycloheptylmethylamine (X), yielding the benzimidazole dicarboxamide (XI). Finally, catalytic hydrogenolysis of the benzyl ester groups of (XI) affords the target isophthalic acid derivative. (1,2)

Drug Information Express,Drug R&D,Chemical Database,Patent Search.
Copyright © 2006-2026 Drug Future. All rights reserved.Contact Us