【药物名称】
化学结构式(Chemical Structure):
参考文献No.681690
标题:Synthesis and anti-tubercular evaluation of 4-quinolylhydrazones
作者:Savini, L.; Chiasserini, L.; Gaeta, A.; Pellerano, C.
来源:Bioorg Med Chem 2002,10(7),2193
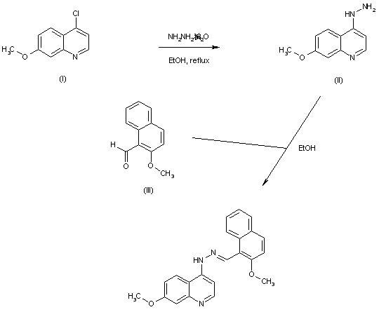
合成路线图解说明:

Reaction of 7-methoxy-4-chloroquinoline (I) with hydrazine affords the hydrazino quinoline (II). This is then condensed with 2-methoxy-1-naphthaldehyde (III) to produce the title hydrazone.

Drug Information Express,Drug R&D,Chemical Database,Patent Search.
Copyright © 2006-2026 Drug Future. All rights reserved.Contact Us