【药物名称】
化学结构式(Chemical Structure):
参考文献No.681689
标题:Synthesis and biological evaluation of cyclopenta[c]thiophene related compounds as new antitumor agents
作者:Dallemagne, P.; Khan, L.P.; Alsaidi, A.; Renault, O.; Varlet, I.; Collot, V.; Bureau, R.; Rault, S.
来源:Bioorg Med Chem 2002,10(7),2185
合成路线图解说明:

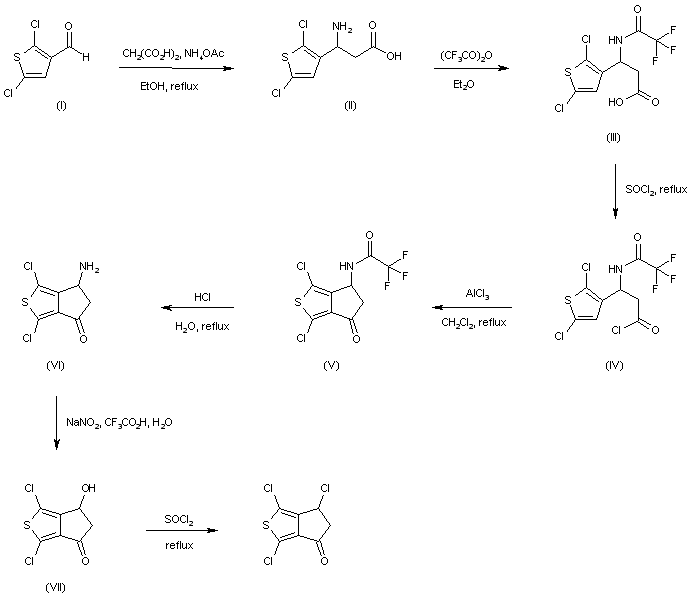
2,5-Dichlorothiophene-3-carbaldehyde (I) is condensed with malonic acid in the presence of ammonium acetate to produce the beta-amino acid (II). Protection of the amino group of (II) with trifluoroacetic anhydride yields the corresponding trifluoroacetamide (III). After activation of the carboxyl group of (III) as its acid chloride (IV) with SOCl2, intramolecular Friedel-Crafts acylation in the presence of AlCl3 leads to the cyclopentathiophene derivative (V). The trifluoroacetyl group of (V) is then removed by acidic hydrolysis, providing amine (VI). This is further converted into alcohol (VII) via diazotization with NaNO2 in aqueous trifluoroacetic acid. Alcohol (VII) is finally chlorinated employing SOCl2 to furnish the title compound.

Drug Information Express,Drug R&D,Chemical Database,Patent Search.
Copyright © 2006-2026 Drug Future. All rights reserved.Contact Us