【药物名称】
化学结构式(Chemical Structure):
参考文献No.681663
标题:Synthesis, photobiological activity and photoreactivity of methyl-thieno-8-azacoumarins, novel bioisosters of psoralen
作者:Via, L.D.; et al.
来源:Bioorg Med Chem Lett 2002,12(9),1253
合成路线图解说明:

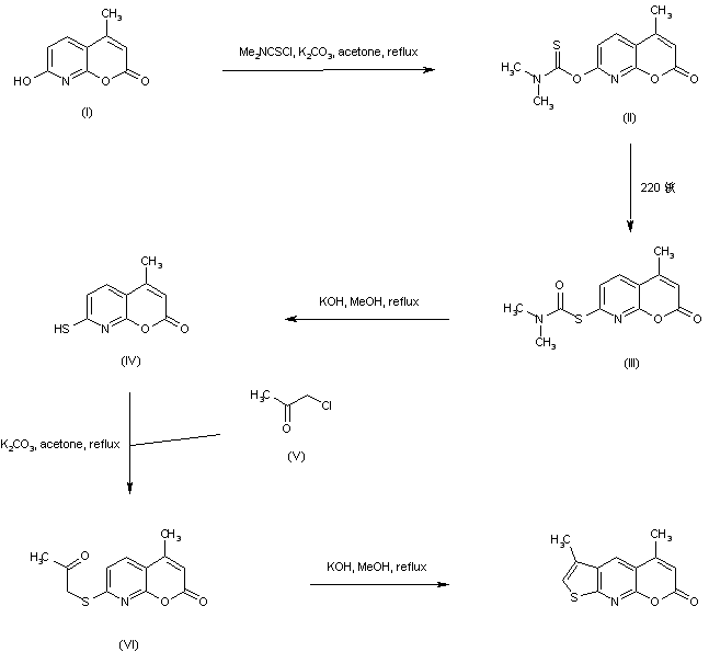
Condensation of 4-methyl-7-hydroxypyrano[2,3-b]pyridin-2-one (I) with N,N-dimethylthiocarbamoyl chloride gives the thiocarbamate (II), which undergoes thermal rearrangement at 220 C to the S-aryl thiocarbamate isomer (III). Subsequent alkaline hydrolysis of (III) provides the 7-mercapto azacoumarin (IV). Alkylation of (IV) with chloroacetone (V) affords thioether (VI). This compound is finally cyclized to the target pyranothienopyridine compound under alkaline conditions.

Drug Information Express,Drug R&D,Chemical Database,Patent Search.
Copyright © 2006-2026 Drug Future. All rights reserved.Contact Us