【药物名称】SMP-500
化学结构式(Chemical Structure):
参考文献No.36814
标题:Novel naphthyridine derivs.
作者:Muraoka, M.; Ioriya, K.; Ohashi, N.; Yagi, H. (Sumitomo Pharmaceuticals Co., Ltd.)
来源:EP 0947515; JP 1998212288; WO 9823615
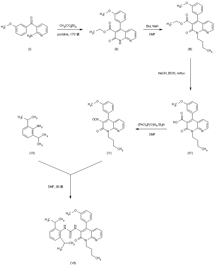
合成路线图解说明:

Condensation of 2-amino-3-(3-methoxybenzoyl)pyridine (I) with diethyl malonate in refluxing pyridine provides the naphthyridine derivative (II), which is subsequently alkylated by butyl iodide in the presence of NaH to afford the N-butyl naphthyridinone (III). Alkaline hydrolysis of the ethyl ester group of (III) leads to the carboxylic acid (IV). This is then subjected to Curtius rearrangement in the presence of diphenylphosphoryl azide, and the obtained isocyanate (V) is further condensed with 2,6-diisopropylaniline (VI) producing urea (VII).

合成路线图解说明:

Cleavage of the methyl ether function of (VII) by means of BBr3 in cold CH2Cl2 leads to phenol (VIII). This is finally alkylated by 3-picolyl chloride (IX) in the presence of K2CO3/NaI to furnish the title compound.

Drug Information Express,Drug R&D,Chemical Database,Patent Search.
Copyright © 2006-2026 Drug Future. All rights reserved.Contact Us