【药物名称】Org-25415, TAAC3
化学结构式(Chemical Structure):
参考文献No.41206
标题:Neuromuscular relaxants
作者:Lee, C.; Gyermek, L.; Cho, Y.-M.
来源:JP 2001521032; US 5990124; WO 9921854
合成路线图解说明:

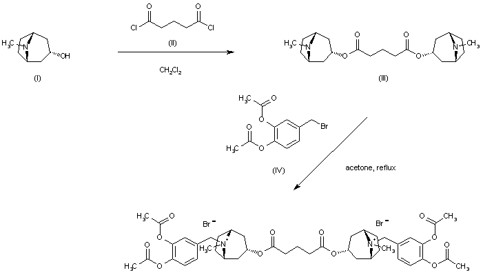
Acylation of tropine (I) with glutaryl chloride (II) furnishes bis(tropan-3-yl) glutarate (III). Subsequent quaternization of (III) with 3,4-diacetoxybenzyl bromide (IV) in refluxing acetone yields the corresponding bis-ammonium sal.

参考文献No.55666
标题:Neuromuscular relaxants
作者:Lee, C.; Gyermek, L.; Cho, Y.-M. (Newlaxant LLC)
来源:US 6376510
合成路线图解说明:

Acylation of tropine (I) with glutaryl chloride (II) furnishes bis(tropan-3-yl) glutarate (III). Subsequent quaternization of (III) with 3,4-diacetoxybenzyl bromide (IV) in refluxing acetone yields the corresponding bis-ammonium sal.

Drug Information Express,Drug R&D,Chemical Database,Patent Search.
Copyright © 2006-2026 Drug Future. All rights reserved.Contact Us