【药物名称】
化学结构式(Chemical Structure):
参考文献No.677933
标题:New p-methylsufonamido phenylamine analogues as class III antiarrhythmic agents: Design, synthesis, biological assay, and 3D-QSAR analysis
作者:Liu, H.; Ji, M.; Luo, X.D.; Shen, J.; Huang, X.-P.; Hua, W.; Jiang, H.J.; Chen, K.
来源:J Med Chem 2002,45(14),2953
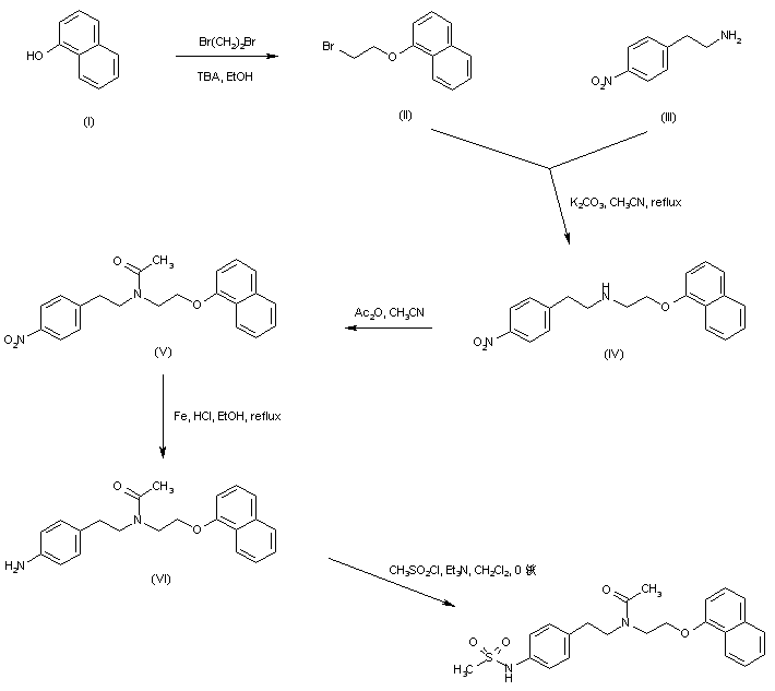
合成路线图解说明:

Alkylation of 1-napthol (I) with 1,2-dibromoethane provides the (naphthyloxy)ethyl bromide (II), which is condensed with p-nitrophenethylamine (III) to afford the secondary amine (IV). After acetylation of amine (IV) to produce acetamide (V), the nitro group of (V) is reduced by means of iron and HCl, yielding aniline (VI). Finally, acylation of the amino group of (VI) with methanesulfonyl chloride furnishes the target sulfonamide.

Drug Information Express,Drug R&D,Chemical Database,Patent Search.
Copyright © 2006-2026 Drug Future. All rights reserved.Contact Us