【药物名称】
化学结构式(Chemical Structure):
参考文献No.677938
标题:II. Synthesis and biological evaluation of some bioisosteres and congeners of the antitumor agent, 2-{4-[(7-chloro-2-quinoxalinyl)oxy]phenox}propionic acid (XK469)
作者:Hazeldine, S.T.; Polin, L.; Kushner, J.; White, K.; Bouregeois, N.M.; Crantz, B.; Palomino, E.; Corbett, T.H.; Horwitz, J.P.
来源:J Med Chem 2002,45(14),3130
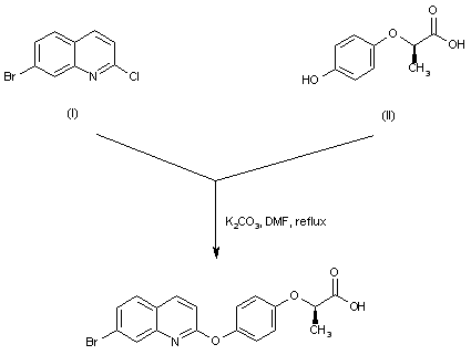
合成路线图解说明:

The title diaryl ether is prepared by condensation between 7-bromo-2-chloroquinoline (I) and (R)-2-(4-hydroxyphenoxy)propionic acid (II) in the presence of K2CO3 in hot DMF.

Drug Information Express,Drug R&D,Chemical Database,Patent Search.
Copyright © 2006-2026 Drug Future. All rights reserved.Contact Us