【药物名称】
化学结构式(Chemical Structure):
参考文献No.677936
标题:Potent and selective inhibitors of platelet-derived growth factor receptor phosphorylation. 1. Synthesis, structure-activity relationship, and biological effects of a new class of quinazoline derivatives
作者:Matsuno, K.; Ichimura, M.; Nakajima, T.; Tahara, K.; Fujiwara, S.; Kase, H.; Ushiki, J.; Giese, N.A.; Pandey, A.; Scarborough, R.M.; Lokker, N.A.; Yu, J.C.; Irie, J.; Tsukuda, E.; Ide, S.-i.; Oda, S.; Nomoto, Y.
来源:J Med Chem 2002,45(14),3057
合成路线图解说明:

The title urea derivative was synthesized by condensation of 6,7-dimethoxy-4-piperazinylquinazoline (I) with 4-bromophenyl isocyanate (II) in refluxing ethanol.

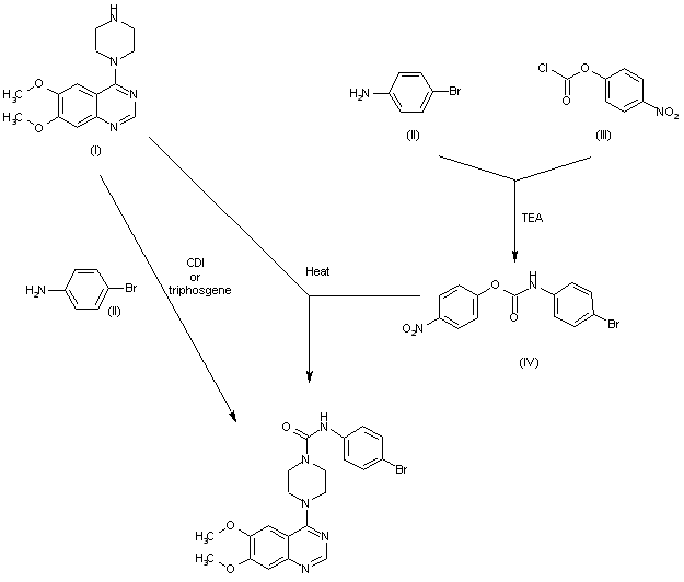
合成路线图解说明:

The condensation of 6,7-dimethoxy-4-(1-piperazinyl)quinazoline (I) with 4-bromophenylamine (II) by means of CDI or triphosgene gives the target piperazine-1-carboxamide. Alternatively, the reaction of 4-bromophenylamine (II) with 4-nitrophenyl chloroformate (III) by means of TEA gives the carbamate (IV), which is finally condensed with the quinazoline (I) in hot NMP to yield the target piperazine-1-carboxamide.

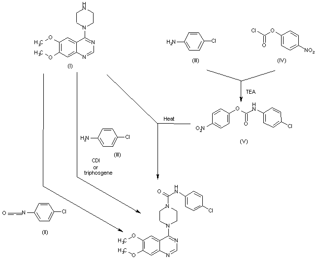
合成路线图解说明:

The target piperazine-1-carboxamide has been obtained by several different methods: 1.- The condensation of 6,7-dimethoxy-4-(1-piperazinyl)quinazoline (I) with 4-chlorophenyl isocyanate (II) in DMF gives the target compound. 2.- The condensation of 6,7-dimethoxy-4-(1-piperazinyl)quinazoline (I) with 4-chlorophenylamine (III) by means of CDI or triphosgene also gives the target piperazine-1-carboxamide. 3.- The reaction of 4-chlorophenylamine (III) with 4-nitrophenyl chloroformate (IV) by means of TEA gives the carbamate (V), which is finally condensed with the quinazoline (I) in hot NMP to yield the target piperazine-1-carboxamide.

Drug Information Express,Drug R&D,Chemical Database,Patent Search.
Copyright © 2006-2026 Drug Future. All rights reserved.Contact Us