【药物名称】
化学结构式(Chemical Structure):
参考文献No.677972
标题:Identification of potent and novel alpha4beta1 antagonists using in silico screening
作者:Singh, J.; van Vlijmen, H.; Liao, Y.; Lee, W.-C.; Cornebise, M.; Harris, M.; Shu, I.-h.; Gill, A.; Cuervo, J.H.; Abraham, W.M.; Adams, S.P.
来源:J Med Chem 2002,45(14),2988
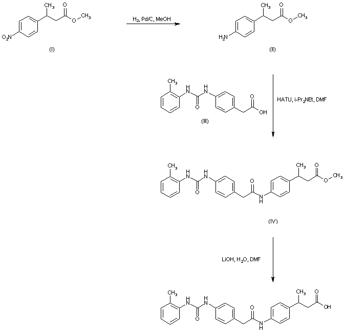
合成路线图解说明:

Reduction of methyl 3-(4-nitrophenyl)butyrate (I) with H2 in the presence of Pd/C produces aniline (II). This is then coupled with [N'-(2-methylphenyl)ureido]phenylacetic acid (III) by means of HATU, yielding amide (IV). Finally, ester group hydrolysis in (IV) with LiOH gives rise to the title carboxylic acid.

Drug Information Express,Drug R&D,Chemical Database,Patent Search.
Copyright © 2006-2026 Drug Future. All rights reserved.Contact Us