【药物名称】
化学结构式(Chemical Structure):
参考文献No.675786
标题:Synthesis of a novel phosphatidylcholine conjugated to docosahexaenoic acid and methotrexate that inhibits cell proliferation
作者:Zerouga, M.; Stillwell, W.; Jenski, L.J.
来源:Anti-Cancer Drugs 2002,13(3),301
合成路线图解说明:

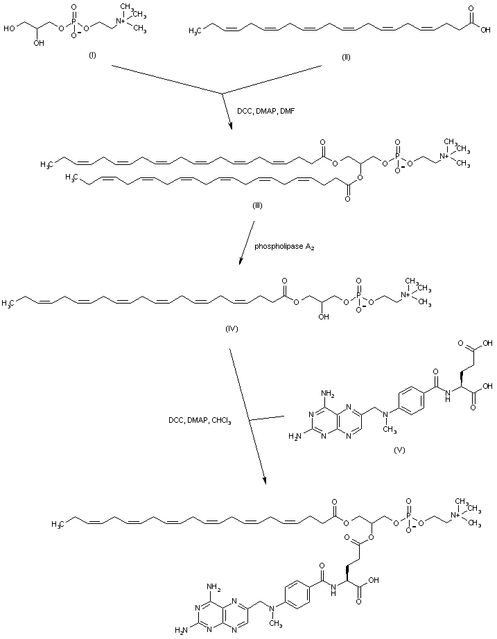
Esterification of L-alpha-glycerophosphorylcholine (I) with docosahexaenoic acid (II) by means of DCC affords diester (III), which is regioselectively converted to mono-ester (IV) by phospholipase A2-catalyzed hydrolysis. Finally, acylation of (IV) with methotrexate (V) in the presence of DCC gives rise to the title compound.

Drug Information Express,Drug R&D,Chemical Database,Patent Search.
Copyright © 2006-2026 Drug Future. All rights reserved.Contact Us