【药物名称】
化学结构式(Chemical Structure):
参考文献No.55657
标题:Novel prodrugs of 6-hydroxy-2,3-dihydro-1H-indoles, 5-hydroxy-1,2-dihydro-3H-pyrrolo[3,2-e]indoles and 5-hydroxy-1,2-dihydro-3H-benzo[e]indoles as well as of 6-hydroxy-1,2,3,4-tetrahydro-benzo[f]quinoline derivs. for use in selective cancer therapy
作者:Tietze, L.F.; Fecher, A.; Herzig, T.
来源:WO 0183448
合成路线图解说明:

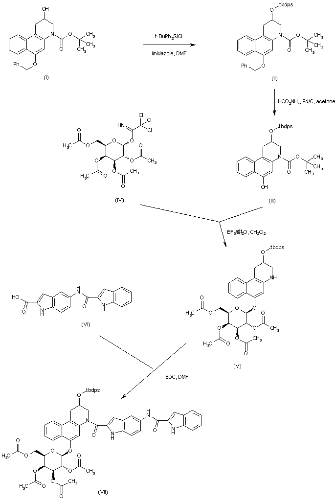
The benzoquinolinol derivative (I) is protected as the silyl ether (II) upon treatment with tert-butyldiphenylsilyl chloride and imidazole. Transfer hydrogenolysis of the benzyl ether group of (II) with ammonium formate and Pd/C affords phenol (III). This is then coupled with the trichloroacetimidate of tetraacetylgalactose (IV) in the presence of boron trifluoride etherate to produce the Boc-deprotected galactopyranoside (V). Acylation of (V) with the bis-indolylcarboxylic acid (VI) yields amide (VII).

合成路线图解说明:

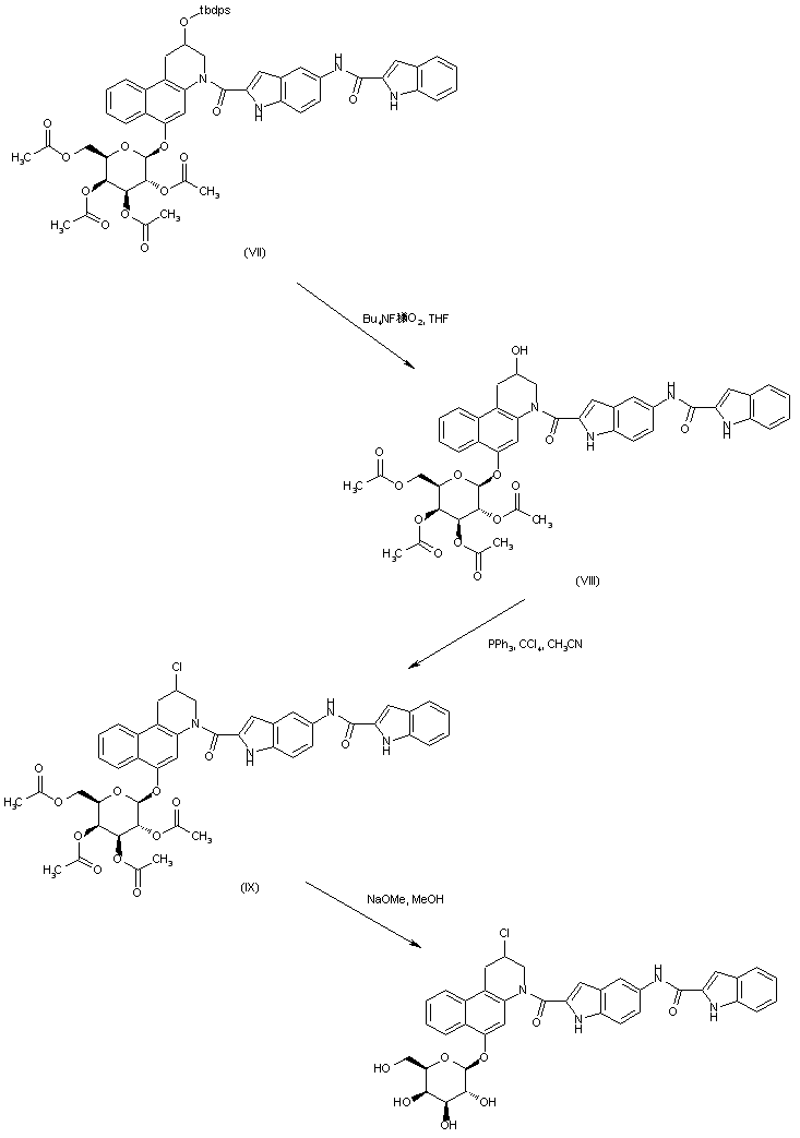
Desilylation of (VII) employing tetrabutylammonium fluoride on silica gel support gives alcohol (VIII), which is converted into chloride (IX) upon treatment with triphenylphosphine in carbon tetrachloride. Finally, solvolysis of the acetate ester groups with methanolic NaOMe affords the title compound.

参考文献No.664755
标题:Proof of principle in the selective treatment of cancer by antibody-directed enzyme prodrug therapy: The development of a highly potent prodrug
作者:Tietze, L.F.; et al.
来源:Angew Chem. Int Ed Engl 2002,41(5),759
合成路线图解说明:

The benzoquinolinol derivative (I) is protected as the silyl ether (II) upon treatment with tert-butyldiphenylsilyl chloride and imidazole. Transfer hydrogenolysis of the benzyl ether group of (II) with ammonium formate and Pd/C affords phenol (III). This is then coupled with the trichloroacetimidate of tetraacetylgalactose (IV) in the presence of boron trifluoride etherate to produce the Boc-deprotected galactopyranoside (V). Acylation of (V) with the bis-indolylcarboxylic acid (VI) yields amide (VII).

合成路线图解说明:

Desilylation of (VII) employing tetrabutylammonium fluoride on silica gel support gives alcohol (VIII), which is converted into chloride (IX) upon treatment with triphenylphosphine in carbon tetrachloride. Finally, solvolysis of the acetate ester groups with methanolic NaOMe affords the title compound.

Drug Information Express,Drug R&D,Chemical Database,Patent Search.
Copyright © 2006-2026 Drug Future. All rights reserved.Contact Us