【药物名称】UCB-35440
化学结构式(Chemical Structure):
参考文献No.45158
标题:Cpds. and methods for treatment of asthma, allergy and inflammatory disorders
作者:Chatelain, P.; Differding, E.; Cai, X.; Hussoin, S.; Grewal, G.; Young, M.; Lewis, T.; Toy-Palmer, A.; Scannel, R.; Ellis, J.; Lassoie, M.-A. (UCB SA)
来源:JP 2002540198; US 6451801; WO 0058295
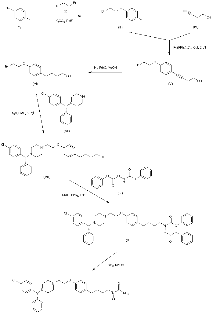
合成路线图解说明:

4-Iodophenol (I) is alkylated with 1,2-dibromoethane (II) to afford 1-(2-bromoethoxy)-4-iodobenzene (III). Subsequent palladium-catalyzed coupling of aryl iodide (III) with 3-butyn-1-ol (IV) furnishes the phenylbutynol adduct (V), which is further hydrogenated in the presence of Pd/C to the saturated alcohol (VI). Condensation of the alkyl bromide (VI) with (R)-p-chlorobenzhydrylpiperazine (VII) produces the dialkylated piperazine (VIII). Then, Mitsunobu coupling of arylbutanol (VIII) with phenoxycarbonylaminophenoxyformate (IX) leads to the protected hydroxamic acid (X). This is finally treated with methanolic ammonia to provide the title N-hydroxyurea derivative.

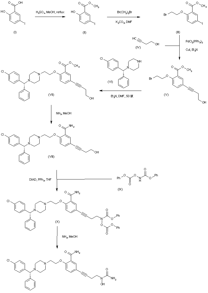
合成路线图解说明:

Esterification of 5-iodosalicylic acid (I) with methanol and H2SO4 provides the methyl ester (II). Subsequent palladium-catalyzed coupling of (II) with 3-butyn-1-ol (III) yields adduct (IV). Alkylation of the phenolic hydroxyl group of (IV) with 1,2-dibromoethane affords the bromoethyl ether (V). The bromide group of (V) is then displaced with (R)-p-chlorobenzhydryl piperazine (VI) to produce the disubstituted piperazine (VII). Mitsunobu coupling of alcohol (VII) with phenoxycarbonylamino phenoxyformate (VIII) furnishes the protected N-hydroxy carbamate (IX). Finally, ammonolysis of the ester groups of (IX) gives rise to a mixture of the title N-hydroxyurea derivative, along with the analogous methyl ester (X), which can be separated by means of flash chromatography

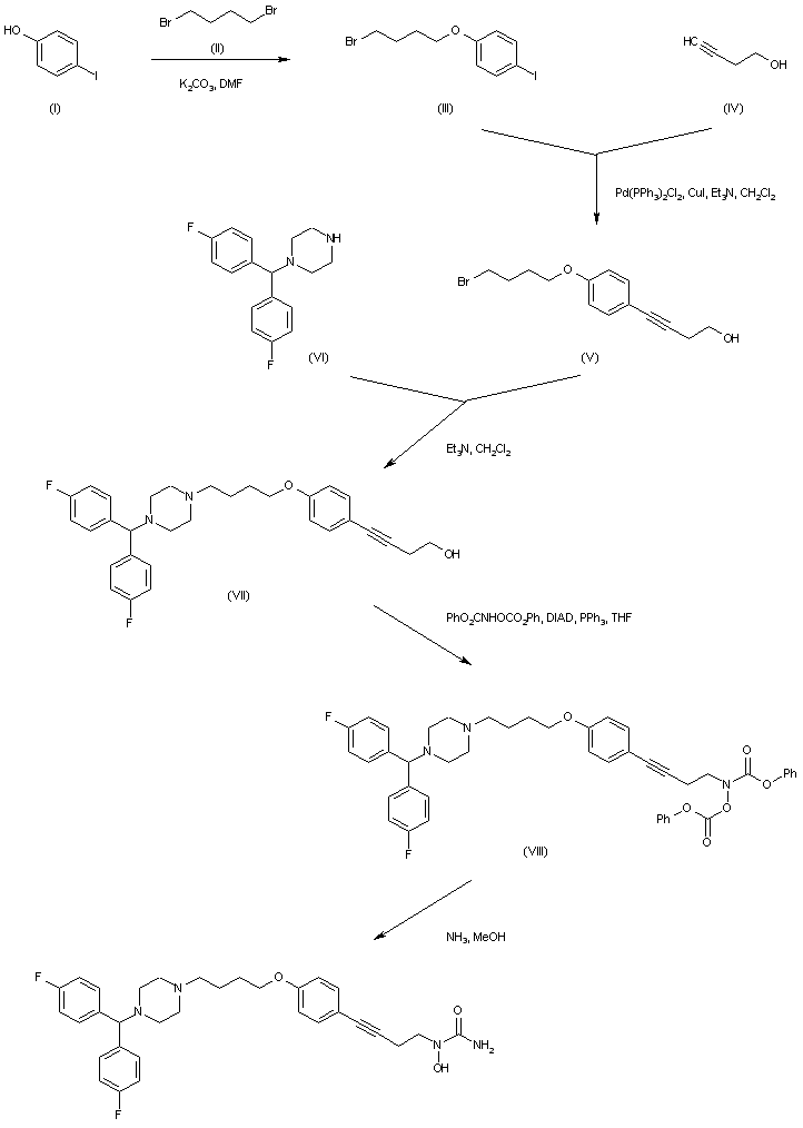
合成路线图解说明:

Alkylation of 4-iodophenol (I) with 1,4-dibromobutane (II) provides ether (III). Subsequent palladium-catalyzed coupling between aryl iodide (III) and 3-butyn-1-ol (IV) leads to adduct (V). Reaction of bromide (V) with difluorobenzhydryl piperazine (VI) then gives (VII). Alcohol (VII) is subjected to Mitsunobu coupling with N,O-bis(phenoxycarbonyl)hydroxylamine to furnish the N-alkylated hydroxylamine derivative (VIII). This is finally reacted with methanolic ammonia to generate the title N-hydroxyurea compound.

参考文献No.686360
标题:Discovery of UCB 35440: A potent and orally active dual acting 5-lipoxygenase inhibitor and H1 receptor antagonist
作者:Cai, X.; Arrington, M.; Bayless, L.; et al.
来源:224th ACS Natl Meet (Aug 18 2002, Boston) 2002,Abst MEDI 317
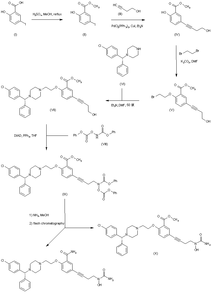
合成路线图解说明:

A related method for the synthesis of the title compound has been reported. After esterification of 5-iodosalicylic acid (I), the methyl ester (II) is reacted with 1,2-dibromoethane to give bromide (III). Coupling of aryl iodide (III) with 3-butyn-1-ol (IV) leads to adduct (V). Displacement of bromide (V) with (R)-p-chlorobenzhydryl piperazine (VI) furnishes piperazine (VII). Then, ester group ammonolysis in (VII) leads to amide (VIII). Coupling of alcohol (VIII) with phenoxycarbonylamino phenoxyformate (IX) under Mitsunobu conditions furnishes the protected N-hydroxy carbamate (X). Finally, treatment of (X) with methanolic ammonia provides the desired N-hydroxyurea derivative

Drug Information Express,Drug R&D,Chemical Database,Patent Search.
Copyright © 2006-2026 Drug Future. All rights reserved.Contact Us