【药物名称】UCB-34714
化学结构式(Chemical Structure):
参考文献No.56492
标题:2-Oxo-1-pyrrolidine derivs., processes for preparing them and their uses
作者:Michel, P.; Differding, E.; Pasau, P.; Kenda, B.; Lallemand, B.; Matagne, A.; Talaga, P. (UCB SA)
来源:WO 0162726; WO 0164637
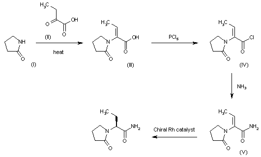
合成路线图解说明:

The condensation of 2-pyrrolidone (I) with 2-oxobutyric acid (II) in refluxing toluene gives 2-(2-oxopyrrolidin-1-yl)-2-butenoic acid (III), which is treated with PCl5 in THF to yield the acyl chloride (IV). The reaction of (IV) with dry ammonia affords the corresponding amide (V), which is finally submitted to an asymmetric hydrogenation with H2 over a chiral Rh catalyst to provide the desired chiral butyramide.

合成路线图解说明:

Reductive amination of 5-hydroxy-4-propyl-2-furanone (I) with (S)-2-aminobutyramide (II) in the presence of NaBH4 yields the dihydropyrrolone (III). Transfer hydrogenation of (III) with ammonium formate and Pd/C provides a diastereoisomeric mixture of pyrrolidinones, from which the title compound is isolated by preparative HPLC on chiral phase.

Drug Information Express,Drug R&D,Chemical Database,Patent Search.
Copyright © 2006-2026 Drug Future. All rights reserved.Contact Us