【药物名称】
化学结构式(Chemical Structure):
参考文献No.54079
标题:Non-covalent inhibitors of urokinase and blood vessel formation
作者:Semple, J.E.; Levy, O.E.; Tamiz, A.P.; Madison, E.L.; Weinhouse, M.I. (Corvas International, Inc.)
来源:EP 1182207; WO 0214349
合成路线图解说明:

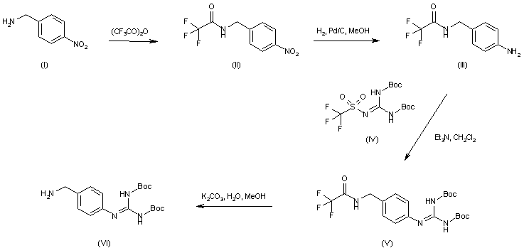
4-Nitrobenzylamine (I) is protected as the corresponding trifluoroacetamide (II) and subsequently reduced to aniline (III) by catalytic hydrogenation over Pd/C. Condensation of (III) with N,N'-di-Boc-N''-(trifluoromethanesulfonyl)guanidine (IV) furnishes the Boc-protected guanidine (V). The trifluoroacetamide function of (V) is then hydrolyzed by means of K2CO3 in aqueous MeOH to provide amine (VI). (1,2)

合成路线图解说明:

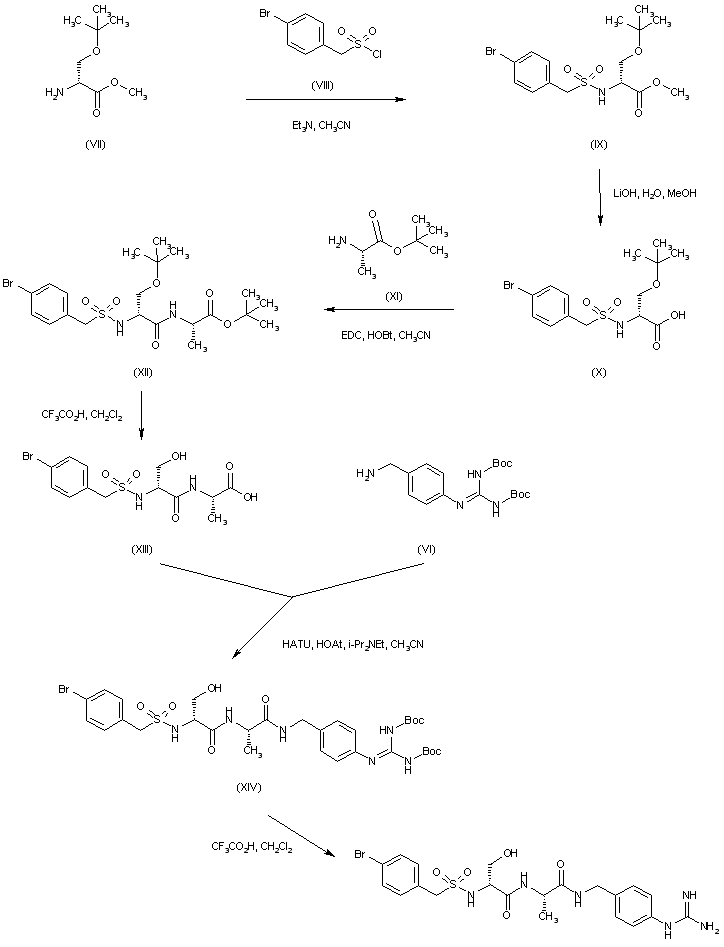
Acylation of O-t-butyl-D-serine methyl ester (VII) with sulfonyl chloride (VIII) yields sulfonamide (IX). After saponification of the methyl ester group of (IX) employing LiOH, the resultant carboxylic acid (X) is coupled to L-alanine t-butyl ester (XI) to furnish the sulfonyl dipeptide (XII). Acidic cleavage of the t-butyl ester group of (XII) gives rise to the carboxylic acid (XIII). This is then coupled to the benzylic amine (VI) to afford amide (XIV). Finally, the N-Boc protecting groups of (XIV) are removed by treatment with trifluoroacetic acid in CH2Cl2. (1,2)

参考文献No.676094
标题:Synthesis and biological activity of non-transition state urokinase inhibitors
作者:Tamiz, A.P.; Weinhouse, M.I.; Ahn, J.S.; Alfaro-Lopez, J.; Gaudette, J.; Meneses, J.K.; Roberts, C.; Madison, E.L.; Semple, J.E.; Levy, O.E..
来源:28th Natl Med Chem Symp (June 8 2002, San Diego) 2002,Abst 59
合成路线图解说明:

4-Nitrobenzylamine (I) is protected as the corresponding trifluoroacetamide (II) and subsequently reduced to aniline (III) by catalytic hydrogenation over Pd/C. Condensation of (III) with N,N'-di-Boc-N''-(trifluoromethanesulfonyl)guanidine (IV) furnishes the Boc-protected guanidine (V). The trifluoroacetamide function of (V) is then hydrolyzed by means of K2CO3 in aqueous MeOH to provide amine (VI). (1,2)

合成路线图解说明:

Acylation of O-t-butyl-D-serine methyl ester (VII) with sulfonyl chloride (VIII) yields sulfonamide (IX). After saponification of the methyl ester group of (IX) employing LiOH, the resultant carboxylic acid (X) is coupled to L-alanine t-butyl ester (XI) to furnish the sulfonyl dipeptide (XII). Acidic cleavage of the t-butyl ester group of (XII) gives rise to the carboxylic acid (XIII). This is then coupled to the benzylic amine (VI) to afford amide (XIV). Finally, the N-Boc protecting groups of (XIV) are removed by treatment with trifluoroacetic acid in CH2Cl2. (1,2)

Drug Information Express,Drug R&D,Chemical Database,Patent Search.
Copyright © 2006-2026 Drug Future. All rights reserved.Contact Us