【药物名称】
化学结构式(Chemical Structure):
参考文献No.676092
标题:Synthesis of 7-chloro-4-hydroxy-2-(3-(aryl/heteroaryl)prop-2-ynyl)1,2,5,10-tetrahydropyridazino[4,5-b]quinoline-1,10-diones (PQD I); potent oral glycine antagonists
作者:Horchler, C.L.; et al.
来源:28th Natl Med Chem Symp (June 8 2002, San Diego) 2002,Abst 19
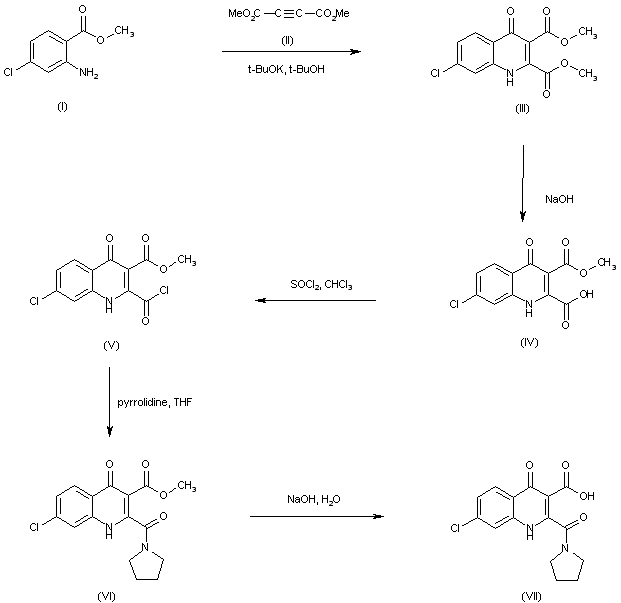
合成路线图解说明:

Condensation of methyl 4-chloroanthranilate (I) with dimethyl butynedioate (II), followed by cyclization in the presence of potassium tert-butoxide leads to the quinolone dicarboxylate (III). Partial hydrolysis of diester (III) under basic conditions affords mono-acid (IV), which is converted to acid chloride (V) by treatment with SOCl2. Condensation of acid chloride (V) with pyrrolidine provides the corresponding amide (VI). The methyl ester group of (VI) is subsequently hydrolyzed with NaOH to afford the intermediate acid (VII).

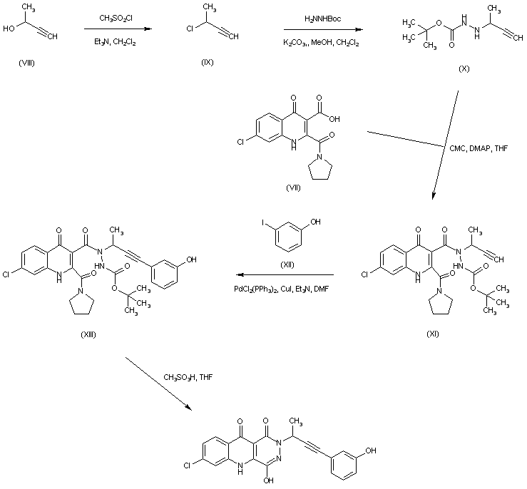
合成路线图解说明:

Treatment of 3-butyn-2-ol (VIII) with methanesulfonyl chloride and triethylamine produces the propargyl chloride (IX). This is then condensed with tert-butyl carbazate to yield the Boc-protected propargylhydrazine (X). Acylation of (X) with the quinolonecarboxylic acid (VII) affords hydrazide (XI). Palladium-catalyzed coupling between acetylene (XI) and the aryl halide (XII) produces the arylpropinyl compound (XIII). This is finally cyclized in the presence of methanesulfonic acid to the target pyridazinoquinoline.

Drug Information Express,Drug R&D,Chemical Database,Patent Search.
Copyright © 2006-2026 Drug Future. All rights reserved.Contact Us