【药物名称】
化学结构式(Chemical Structure):
参考文献No.676091
标题:A series of C-terminal amino alcohol dipeptide Abeta inhibitors
作者:Garofalo, A.W.; et al.
来源:28th Natl Med Chem Symp (June 8 2002, San Diego) 2002,Abst 11
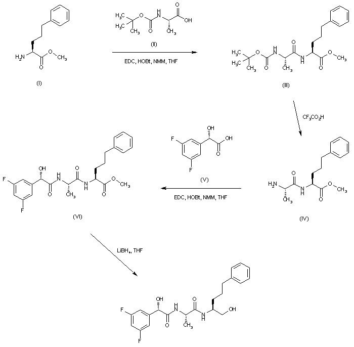
合成路线图解说明:

Coupling between methyl 2-amino-5-phenylpentanoate (I) and N-Boc-alanine (II) affords dipeptide (III). Deprotection of (III) with trifluoroacetic acid yields amine (IV), which is then acylated with (S)-3,5-difluoromandelic acid (V), producing amide (VI). Finally, ester group reduction using LiBH4 leads to the desired alcohol.

Drug Information Express,Drug R&D,Chemical Database,Patent Search.
Copyright © 2006-2026 Drug Future. All rights reserved.Contact Us