【药物名称】A-331440, ABBOTT-331440
化学结构式(Chemical Structure):
参考文献No.53474
标题:1,3-Disubstd. and 1,3,3-trisubstd. pyrrolidines as histamine-3 receptor ligands and their therapeutic applications
作者:Faghih, R.; Bennani, Y.L.; Dwight, W.J.; Vasudevan, A.; Conner, S.E. (Abbott Laboratories Inc.)
来源:WO 0206223
合成路线图解说明:

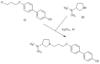
The title compound is prepared by a displacement reaction between 4'-(3-chloropropoxy)biphenyl-4-carbonitrile (I) and 3(R)-(dimethylamino)pyrrolidine (II) in the presence of K2CO3 and KI in refluxing 2-butanone.

参考文献No.55964
标题:1,3-Disubstd. and 1,3,3-trisubstd. pyrrolidines as histamine-3 receptor ligands and their therapeutic applications
作者:Faghih, R.; Bennani, Y.L.; Dwight, W.J.; Vasudevan, A.; Conner, S.E. (Abbott Laboratories Inc.)
来源:US 2002035103; US 6515013
合成路线图解说明:

The title compound is prepared by a displacement reaction between 4'-(3-chloropropoxy)biphenyl-4-carbonitrile (I) and 3(R)-(dimethylamino)pyrrolidine (II) in the presence of K2CO3 and KI in refluxing 2-butanone.

Drug Information Express,Drug R&D,Chemical Database,Patent Search.
Copyright © 2006-2026 Drug Future. All rights reserved.Contact Us