【药物名称】BVT-2733
化学结构式(Chemical Structure):
参考文献No.52494
标题:Inhibitors of 11-beta-hydroxy steroid dehydrogenase type 1
作者:Emond, R.; Barf, T.; Kurz, G.; Nilsson, M.; Vallgarda, J. (Biovitrum AB)
来源:EP 1283831; WO 0190090
合成路线图解说明:

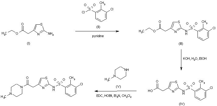
Acylation of ethyl 2-amino-4-thiazolylacetate (I) with 3-chloro-2-methylbenzenesulfonyl chloride (II) in pyridine affords sulfonamide (III). After alkaline hydrolysis of the ethyl ester group of (III), the resultant carboxylic acid (IV) is coupled to N-methylpiperazine (V) by means of EDC to furnish the target amide.

参考文献No.687572
标题:Arylsulfonamidothiazoles as a new class of potential antidiabetic drugs. Discovery of potent and selective inhibitors of potent and selective inhibitors of the 11beta-hydroxysteroid dehydrogenase type 1
作者:Barf, T.; Vallgarda, J.; Emond, R.; Haggstrom, C.; Kurz, G.; Nygren, A.; Larwood, V.; Mosialou, E.; Axelsson, K.; Olsson, R.; Engblom, L.; Edling, N.; Ronquist-Nii, Y.; Ohman, B.; Alberts, P.; Abrahmsen, L.
来源:J Med Chem 2002,45(18),3813
合成路线图解说明:

Acylation of ethyl 2-amino-4-thiazolylacetate (I) with 3-chloro-2-methylbenzenesulfonyl chloride (II) in pyridine affords sulfonamide (III). After alkaline hydrolysis of the ethyl ester group of (III), the resultant carboxylic acid (IV) is coupled to N-methylpiperazine (V) by means of EDC to furnish the target amide.

Drug Information Express,Drug R&D,Chemical Database,Patent Search.
Copyright © 2006-2026 Drug Future. All rights reserved.Contact Us