【药物名称】VER-5593
化学结构式(Chemical Structure):
参考文献No.42446
标题:Indoline derivs. as 5-HT2B and/or 5-HT2C receptor ligands
作者:Bebbington, D.; Gaur, S.; Adams, D.R.; Monck, N.J.; Bentley, J.M.; Hamlyn, R.J.; Duncton, M.A.J.; Dawson, C.E.; Pratt, R.M.; George, A.R.; Roffey, J.R.A. (Vernalis Research Ltd.)
来源:EP 1109784; JP 2002523491; US 6380238; WO 0012475
合成路线图解说明:

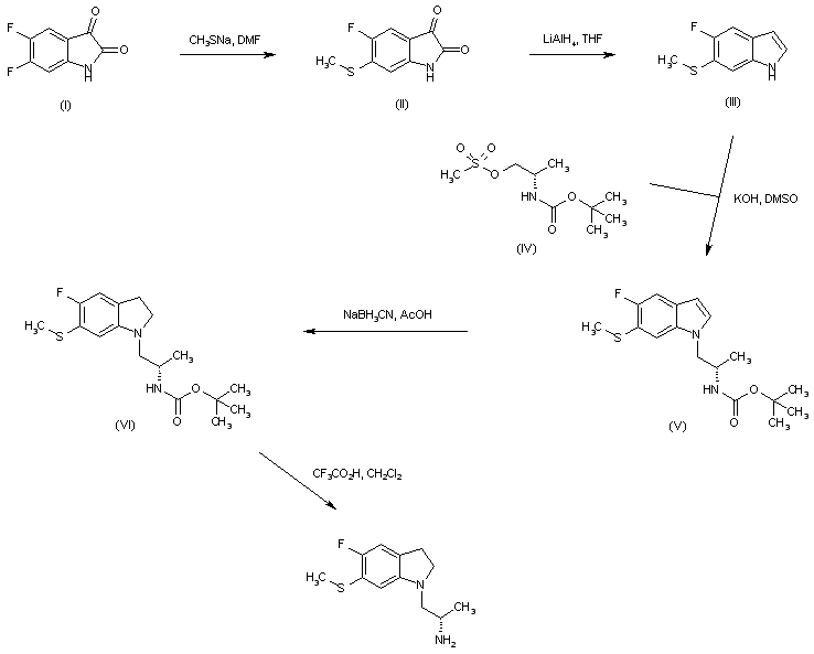
Reaction of 5,6-difluoroisatin (I) with sodium methanethiolate affords thioether (II). Subsequent reduction of isatin (II) with LiAlH4 provides 5-fluoro-6-methylsulfanylindole (III). Alkylation of indole (III) with (S)-2-(t-butoxycarbonylamino)propyl methanesulfonate (IV) in the presence of KOH in DMSO leads to the N-alkylated indole (V), which is further reduced to the corresponding indoline (VI) by means of NaBH3CN in AcOH. The N-Boc protecting group of (VI) is finally removed by treatment with trifluoroacetic acid in CH2Cl2 (1,2).

参考文献No.674853
标题:Indolines as human 5-HT2C receptor ligands
作者:Adams, D.R.; Bebbington, D.; Bentley, J.M.; Benwell, K.; Bickerdike, M.J.; Cliffe, I.A.; Davidson, J.E.; Dawson, C.E.; Duncton, M.A..J.; Gaur, S.; George, A.R.; Giles, P.R.; Hamlyn, R.J.; Kennett, G.A.; Knight, A.R.; Malcolm, C.; Mansell, H.L.; et al.
来源:28th Natl Med Chem Symp (June 8 2002, San Diego) 2002,Abst 12
合成路线图解说明:

Reaction of 5,6-difluoroisatin (I) with sodium methanethiolate affords thioether (II). Subsequent reduction of isatin (II) with LiAlH4 provides 5-fluoro-6-methylsulfanylindole (III). Alkylation of indole (III) with (S)-2-(t-butoxycarbonylamino)propyl methanesulfonate (IV) in the presence of KOH in DMSO leads to the N-alkylated indole (V), which is further reduced to the corresponding indoline (VI) by means of NaBH3CN in AcOH. The N-Boc protecting group of (VI) is finally removed by treatment with trifluoroacetic acid in CH2Cl2 (1,2).

Drug Information Express,Drug R&D,Chemical Database,Patent Search.
Copyright © 2006-2026 Drug Future. All rights reserved.Contact Us