【药物名称】GL-406349
化学结构式(Chemical Structure):
参考文献No.674920
标题:Discovery af a new class of broad-spectrum antifungal compounds that target the minor groove of DNA
作者:Roberts, C.; et al.
来源:28th Natl Med Chem Symp (June 8 2002, San Diego) 2002,Abst 67
合成路线图解说明:

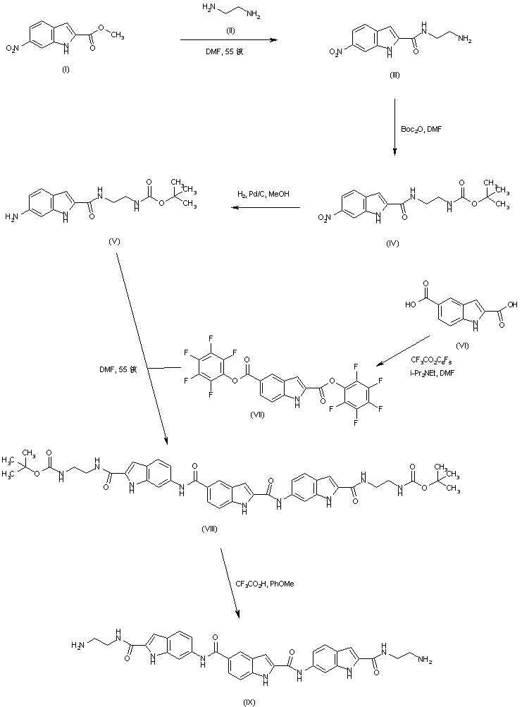
Reaction of methyl 6-nitroindole-2-carboxylate (I) with ethylenediamine (II) in hot DMF gives amino amide (III). After protection of (III) as the N-Boc derivative (IV), catalytic hydrogenation of its nitro group affords amine (V). Indole-2,5-dicarboxylic (VI) is activated as the bis-pentafluorophenyl ester (VII) by treatment with pentafluorophenyl trifluoroacetate. Subsequent coupling between the bis-pentafluorophenyl ester (VII) and amino indole (V) furnishes diamide (VIII). Removal of the N-Boc groups using trifluoroacetic acid in the presence of anisole produces diamine (IX).

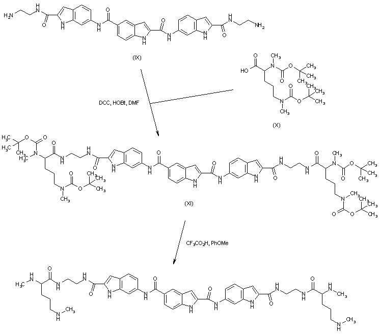
合成路线图解说明:

Coupling of diamine (IX) with the Boc-protected diamino acid (X) by means of DCC and HOBt gives rise to amide (XI). The title compound is finally obtained by acidic cleavage of the N-Boc protecting groups of (XI).

Drug Information Express,Drug R&D,Chemical Database,Patent Search.
Copyright © 2006-2026 Drug Future. All rights reserved.Contact Us