【药物名称】SB-214111
化学结构式(Chemical Structure):
参考文献No.32846
标题:Pyrimidine carboxylates and related cpds. and methods for treating inflammatory conditions
作者:Suto, M.J.; Gayo, L.M.; Palanki, M.S.S.; Ransone-Fong, L.J. (Signal Pharmaceuticals, Inc.)
来源:JP 1999512390; US 5852028; WO 9709325
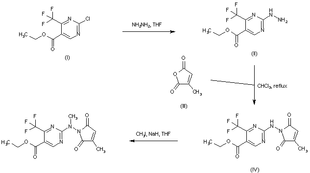
合成路线图解说明:

Treatment of ethyl 2-chloro-4-trifluoromethylpyrimidine-5-carboxylate (I) with hydrazine in THF gives the hydrazinopyrimidine (II). This is subsequently condensed with citraconic anhydride (III) in boiling chloroform to produce the N-(dioxopyrrolidinyl)aminopyrimidine (IV). Finally, N-alkylation of (IV) by means of iodomethane and NaH furnishes the title compound.

参考文献No.37222
标题:Pyrimidine carboxylates and related cpds. and methods for treating inflammatory conditions
作者:Suto, M.J.; Gayo, L.M.; Ransone-Fong, L.J.; Palanki, M.S.S. (Signal Pharmaceuticals, Inc.)
来源:WO 9838171
合成路线图解说明:

Treatment of ethyl 2-chloro-4-trifluoromethylpyrimidine-5-carboxylate (I) with hydrazine in THF gives the hydrazinopyrimidine (II). This is subsequently condensed with citraconic anhydride (III) in boiling chloroform to produce the N-(dioxopyrrolidinyl)aminopyrimidine (IV). Finally, N-alkylation of (IV) by means of iodomethane and NaH furnishes the title compound.

Drug Information Express,Drug R&D,Chemical Database,Patent Search.
Copyright © 2006-2026 Drug Future. All rights reserved.Contact Us