【药物名称】Chackol
化学结构式(Chemical Structure):
参考文献No.55524
标题:Paclitaxel-carbohydrate conjugates: Design, synthesis and biological evaluations
作者:Jacob, J.N. (Organomed Corporation)
来源:US 6218367
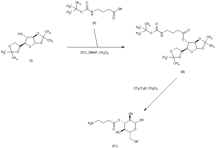
合成路线图解说明:

Esterification of glucose diacetonide (I) with N-Boc-gamma-aminobutyric acid (II) in the presence of DCC and DMAP provides the protected glucose-3-ester (III). Hydrolysis of (III) with trifluoroacetic acid in CH2Cl2 leads to the 3-GABA-glucose (IV).

合成路线图解说明:

Condensation of paclitaxel (V) with succinic anhydride (VI) affords the hemisuccinate ester (VII). This is subsequently coupled with amino ester (IV) in the presence of DCC to furnish the title compound.

Drug Information Express,Drug R&D,Chemical Database,Patent Search.
Copyright © 2006-2026 Drug Future. All rights reserved.Contact Us