【药物名称】BDPX
化学结构式(Chemical Structure):
参考文献No.53306
标题:Heterocyclic cpds., which are inhibitors of the enzyme DPP-IV
作者:Kristiansen, M.; Lundbeck, J.M.; Christiansen, L.B.; Kanstrup, A.B.; Sams, C.K. (Novo Nordisk A/S)
来源:WO 0202560
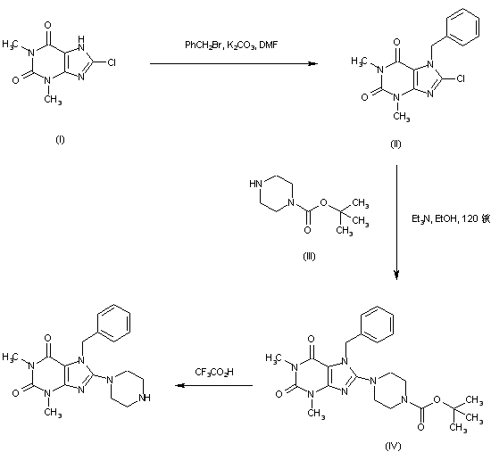
合成路线图解说明:

Alkylation of 8-chloro-1,3-dimethylxanthine (I) with benzyl bromide and K2CO3 affords the 7-benzyl purine (II). This is then condensed with N-Boc-piperazine (III) in EtOH upon heating at 120 C in a sealed vessel to provide the 8-piperazinyl derivative (IV). Finally, deprotection of (IV) employing trifluoroacetic acid leads to the title compound

Drug Information Express,Drug R&D,Chemical Database,Patent Search.
Copyright © 2006-2026 Drug Future. All rights reserved.Contact Us