【药物名称】
化学结构式(Chemical Structure):
参考文献No.43907
标题:N-Ureidoalkyl-piperidines as modulators of chemokine receptor activity
作者:Ko, S.S.; Santella, J.B. III; Wacker, D.A.; Kim, U.T.; Duncia, J.V.K. (Bristol-Myers Squibb Co.)
来源:EP 1140087; US 6492400; WO 0035454
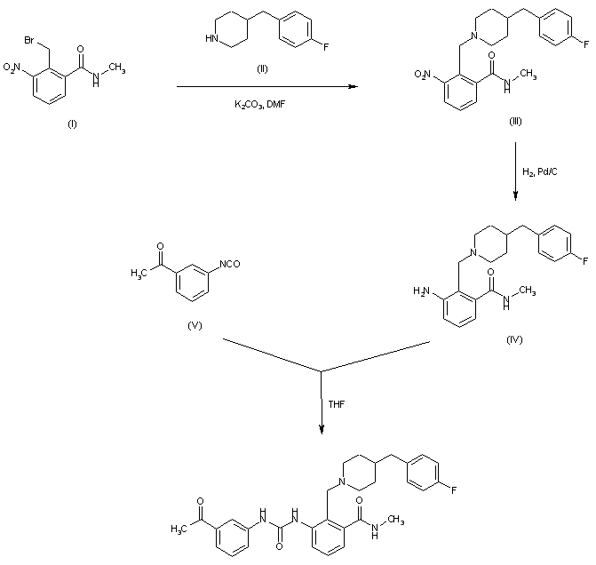
合成路线图解说明:

Condensation of 2-(bromomethyl)-N-methyl-3-nitrobenzamide (I) with 4-(4-fluorobenzyl)piperidine (II) affords the piperidinylmethyl benzamide (III). The nitro group of (III) is then reduced by catalytic hydrogenation over Pd/C to provide aniline (IV). Subsequent coupling of aniline (IV) with 3-acetylphenyl isocyanate (V) leads to the target N,N'-diaryl urea.

Drug Information Express,Drug R&D,Chemical Database,Patent Search.
Copyright © 2006-2026 Drug Future. All rights reserved.Contact Us