【药物名称】LFA-451
化学结构式(Chemical Structure):
参考文献No.44707
标题:Mevinolin derivs.
作者:Hommel, U.; Bauer, W.; Meingassner, J.G.; Weitz-Schmidt, G.; Ehrhardt, C.; Kallen, J.; Banteli, R.; Cottens, S.; Nuninger, F. (Novartis AG; Novartis-Erfindungen VmbH)
来源:EP 1154988; WO 0048989
合成路线图解说明:

Opening of the lactone ring of silylated mevinolin (I) with the naphthalenylmethylamine (II) produced the hydroxy amide (III). After conversion of the hydroxyl group of (III) to the corresponding mesylate (IV), intramolecular cyclization in the presence of sodium bis(trimethylsilyl)amide furnished lactam (V). Finally, desilylation of (V) under acidic conditions gave rise to the title compound.

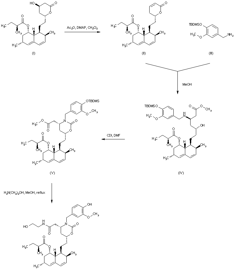
合成路线图解说明:

Dehydration of mevinolin (I) by means of acetic anhydride in the presence of DMAP gives rise to the conjugated lactone (II). Subsequent reaction of (II) with 4-(tert-butyldimethylsilyloxy)-3-methoxybenzylamine (III) in MeOH leads to the amino hydroxy ester (IV). This is then treated with carbonyldiimidazole in DMF to produce the cyclic carbamate (V). Finally, ester group aminolysis with simultaneous desilylation with ethanolamine in boiling MeOH furnishes the title compound.

Drug Information Express,Drug R&D,Chemical Database,Patent Search.
Copyright © 2006-2026 Drug Future. All rights reserved.Contact Us