【药物名称】
化学结构式(Chemical Structure):
参考文献No.51325
标题:Inhibitors of histone deacetylase
作者:Delorme, D.; Woo, S.H.; Vaisburg, A. (MethylGene Inc.)
来源:WO 0170675
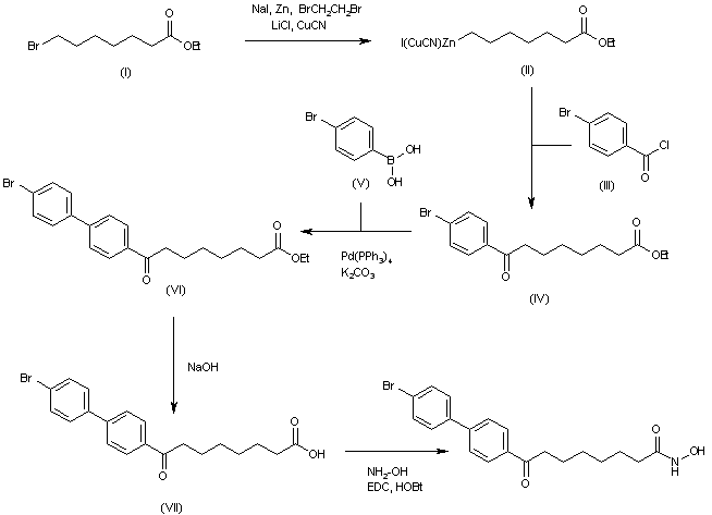
合成路线图解说明:

The reaction of ethyl 7-bromoheptanoate (I) with NaI, Zn, dibromoethane, LiCl and CuCN gives the organometallic derivative (II), which is condensed with 4-bromobenzoyl chloride (III) in THF to yield 8-(4-bromophenyl)-8-oxooctanoic acid ethyl ester (IV). The condensation of (IV) with 4-bromophenylboronic acid (V) by means of Pd(PPh3)4 and K2CO3 in hot toluene affords 8-(4'-bromobiphenyl-4-yl)-8-oxooctanoic acid ethyl ester (VI), which is hydrolyzed with NaOH in THF/methanol to provide the corresponding carboxylic acid (VII). Finally, this compound is treated with hydroxylamine, EDC, HOBt and TEA to obtain the target hydroxamic acid.

参考文献No.674919
标题:Structurally simple trichostatin A-like straight chain hydroxamates as potent histone deacetylase inhibitors
作者:Woo, S.H.; et al.
来源:J Med Chem 2002,45(13),2877
合成路线图解说明:

The reaction of ethyl 7-bromoheptanoate (I) with NaI, Zn, dibromoethane, LiCl and CuCN gives the organometallic derivative (II), which is condensed with 4-bromobenzoyl chloride (III) in THF to yield 8-(4-bromophenyl)-8-oxooctanoic acid ethyl ester (IV). The condensation of (IV) with 4-bromophenylboronic acid (V) by means of Pd(PPh3)4 and K2CO3 in hot toluene affords 8-(4'-bromobiphenyl-4-yl)-8-oxooctanoic acid ethyl ester (VI), which is hydrolyzed with NaOH in THF/methanol to provide the corresponding carboxylic acid (VII). Finally, this compound is treated with hydroxylamine, EDC, HOBt and TEA to obtain the target hydroxamic acid.

Drug Information Express,Drug R&D,Chemical Database,Patent Search.
Copyright © 2006-2026 Drug Future. All rights reserved.Contact Us