【药物名称】
化学结构式(Chemical Structure):
参考文献No.664912
标题:Synthesis and antiproliferative activity in vitro of new propargyl thioquinolines
作者:Boryczka, S.; Wietrzyk, J.; Opolski, A.
来源:Pharmazie 2002,57(3),151
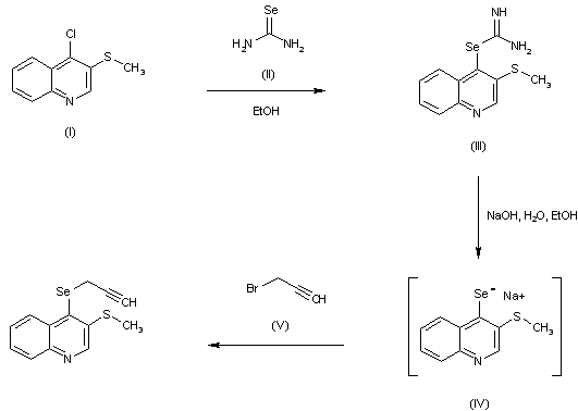
合成路线图解说明:

Condensation of 4-chloro-3-(methylsulfanyl)quinoline (I) with selenourea (II) affords the quinolinyl iso-selenourea (III). Basic hydrolysis of (III), followed by alkylation of the intermediate selenide (IV) with propargyl bromide (V) provides the target propargyl selenoquinoline.

Drug Information Express,Drug R&D,Chemical Database,Patent Search.
Copyright © 2006-2026 Drug Future. All rights reserved.Contact Us