【药物名称】
化学结构式(Chemical Structure):
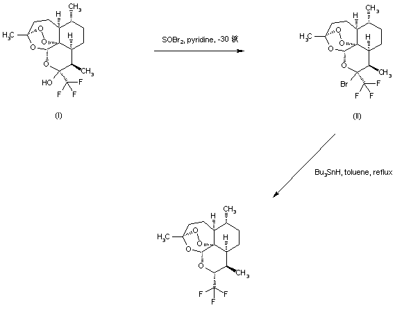
参考文献No.672817
标题:First synthesis of 10alpha-(trifluoromethyl)deoxoartemisinin
作者:Chorki, F.; Grellepois, F.; Crousse, B.; Hoang, V.D.; Van Hung, N.; Bonnet-Delpon, D.; Begue, J.-P.
来源:Org Lett 2002,4(5),757
合成路线图解说明:

The known trifluoromethyl derivative of artemisinin (I) is brominated with SOBr2 in the presence of pyridine at -30 C to furnish stereoselectively bromide (II). Subsequent reductive dehalogenation of (II) employing tributyltin hydride leads to the title compound.

Drug Information Express,Drug R&D,Chemical Database,Patent Search.
Copyright © 2006-2026 Drug Future. All rights reserved.Contact Us