【药物名称】Galnon
化学结构式(Chemical Structure):
参考文献No.673858
标题:Anticonvulsant activity of a nonpeptide galanin receptor agonist
作者:Saar, K.; Mazarati, A.M.; Mahlapuu, R.; Hallnemo, G.; Soomets, U.; Kilk, K.; Hellberg, S.; Pooga, M.; Tolf, B.R.; Shi, T.S.; H鰇felt, T.; Wasterlain, C.; Bartfai, T.; Langel, U.
来源:Proc Natl Acad Sci USA 2002,99(10),7136
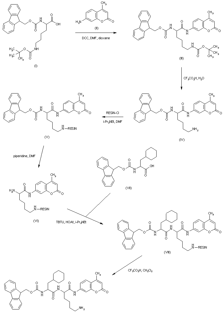
合成路线图解说明:

Coupling of N-alpha-Fmoc-N-epsilon-Boc-lysine (I) to 7-amino-4-methylcoumarin (II) by means of DCC produces the lysine amide (III). After acidic cleavage of the N-Boc protecting group of (III), the resultant primary amine (IV) is attached to chlorotrityl resin to produce (V). The Fmoc group of (V) is then removed with piperidine in DMF, yielding the lysinamide-bound resin (VI). Further coupling with N-Fmoc-cyclohexylalanine (VII) employing TBTU/HOAt furnishes the dipeptide amide resin (VIII). The title compound is finally cleaved from the solid support by means of trifluoroacetic acid in CH2Cl2.

Drug Information Express,Drug R&D,Chemical Database,Patent Search.
Copyright © 2006-2026 Drug Future. All rights reserved.Contact Us