【药物名称】YW-355
化学结构式(Chemical Structure):
参考文献No.714393
标题:CC-1065 analogues bearing different DNA-binding subunits: Synthesis, antitumor activity, and preliminary toxicity study
作者:Wang, Y.; Li, L.; Ye, W.; Tian, Z.; Jiang, W.; Wang, H.; Wright, S.C.; Larrick, J.W.
来源:J Med Chem 2003,46(4),634
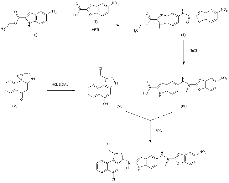
合成路线图解说明:

Coupling between ethyl 5-aminoindole-2-carboxylate (I) and 5-nitrobenzofuran-2-carboxylic acid (II) by means of HBTU affords amide (III). Subsequent ethyl ester hydrolysis under alkaline conditions yields the carboxylic acid (IV). Ring opening of the cyclopropane-fused compound (V) with anhydrous HCl in EtOAc leads to the chloromethyl compound (VI). Acid (IV) is finally coupled to amine (VI) in the presence of EDC to furnish the title compound.

Drug Information Express,Drug R&D,Chemical Database,Patent Search.
Copyright © 2006-2026 Drug Future. All rights reserved.Contact Us