【药物名称】
化学结构式(Chemical Structure):
参考文献No.55381
标题:2-Amino-3-hydroxy-4-tert-leucyl-amino-5-phenyl-pentanoic acid amide derivs.
作者:Lang, M.; Zimmermann, J.; Furet, P.; Garcia-Echeverria, C.; Imbach, P. (Novartis AG; Novartis Pharma GmbH)
来源:EP 1290012; US 2003166572; WO 0189282
合成路线图解说明:

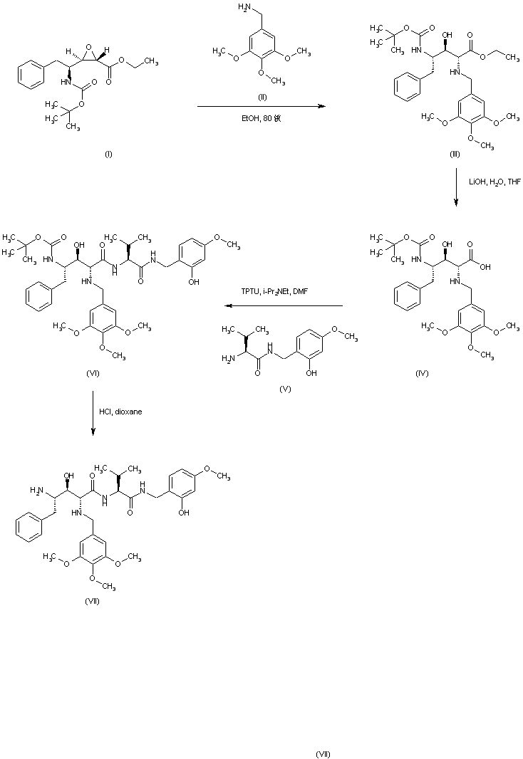
Condensation of glycidate (I) with 3,4,5-trimethoxybenzyl amine (II) in hot EtOH affords the hydroxy amino ester (III). Subsequent ester hydrolysis in (III) employing LiOH yields carboxylic acid (IV). This is coupled to N-2-hydroxy-4-methoxybenzyl-L-valinamide (V) by means of TPTU to furnish (VI). Then, removal of the N-Boc protecting group of (VI) with HCl in dioxane provides amine (VII).

合成路线图解说明:

Coupling of N-Boc-L-tert-leucine (VIII) to amine (VII) in the presence of TPTU gives rise to amide (IX). After acidic Boc group cleavage in (IX), the resultant amine (X) is finally acylated by 1-naphthylacetic acid (XI) to furnish the title compound.

Drug Information Express,Drug R&D,Chemical Database,Patent Search.
Copyright © 2006-2026 Drug Future. All rights reserved.Contact Us