【药物名称】CPHPC, Ro-63-8695
化学结构式(Chemical Structure):
参考文献No.39394
标题:D-Proline derivs.
作者:Jacob-Roetne, R.; Hertel, C.; Hoffmann, T.; Norcross, R.D. (F. Hoffmann-La Roche AG)
来源:CA 2252163; EP 0915088; JP 1999209343; US 6262089
合成路线图解说明:

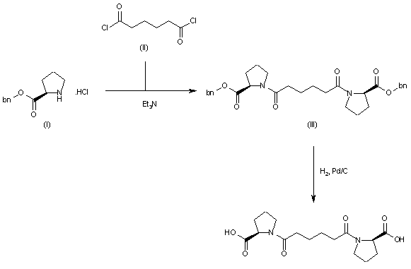
The synthesis of Ro-63-8695 can be performed by first coupling of D-proline-benzylester hydrochloride (I) with adipoyl chloride (II) by means of Et3N in dichloromethane to furnish benzyl 1-[6-[2(R)-carboxy-1-pyrrolidinyl]-6-oxohexanoyl]pyrrolidine-2(R)-carboxylate (III), which is finally hydrogenated over Pd/C in MeOH.

Drug Information Express,Drug R&D,Chemical Database,Patent Search.
Copyright © 2006-2026 Drug Future. All rights reserved.Contact Us