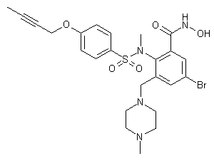
【药物名称】
化学结构式(Chemical Structure):
参考文献No.668160
标题:Anthranilate sulfonamide hydroxamate TACE inhibitors. Part 2: SAR of the acetylenic P1' group
作者:Levin, J.I.; Chen, J.M.; Du, M.T.; Nelson, F.C.; Killar, L.M.; Skala, S.; Sung, A.; Jin, G.; Cowling, R.; Barone, D.; March, C.J.; Mohler, K.M.; Black, R.A.; Skotnicki, J.S.
来源:Bioorg Med Chem Lett 2002,12(8),1199
合成路线图解说明:

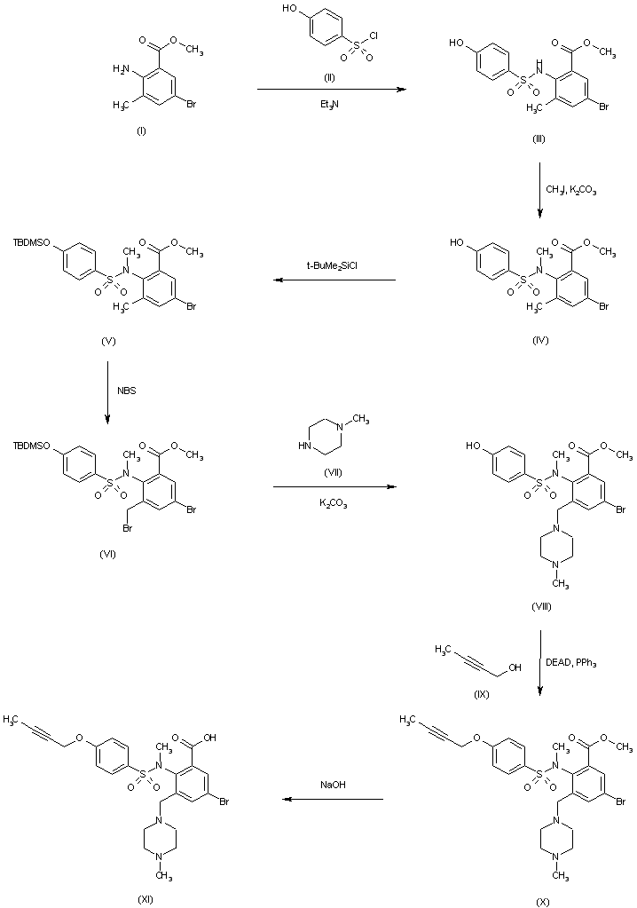
Sulfonylation of methyl 5-bromo-3-methylanthranilate (I) with acid chloride (II) affords sulfonamide (III). Subsequent alkylation of the sulfonamide N of (III) with iodomethane and K2CO3 yields (IV). After protection of the phenolic hydroxyl group of (IV) as the silyl ether (V), benzylic halogenation with N-bromosuccinimide furnishes bromide (VI). Displacement of its benzylic bromide with 1-methylpiperazine (VII) occurs with concomitant desilylation to give (VIII). Mitsunobu coupling of phenol (VIII) with 2-butyn-1-ol (IX) leads to the propargyl ether (X). The methyl ester group of (X) is then hydrolyzed under alkaline conditions to furnish the carboxylic acid (XI).

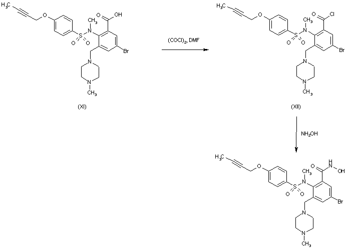
合成路线图解说明:

Acid (XI) is then activated as the corresponding acid chloride (XII) upon treatment with oxalyl chloride in the presence of DMF. Finally, reaction of acid chloride (XII) with hydroxylamine leads to the title hydroxamic acid.

Drug Information Express,Drug R&D,Chemical Database,Patent Search.
Copyright © 2006-2026 Drug Future. All rights reserved.Contact Us