【药物名称】BMS-337197
化学结构式(Chemical Structure):
参考文献No.43320
标题:Cpds. derived from an amine nucleus that are inhibitors of IMPDH enzyme
作者:Liu, C.; Leftheris, K.; Pitts, W.J.; Iwanowicz, E.J.; Dhar, T.G.M.; Gu, H.H. (Bristol-Myers Squibb Co.)
来源:EP 1126843; US 6399773; WO 0025780
合成路线图解说明:

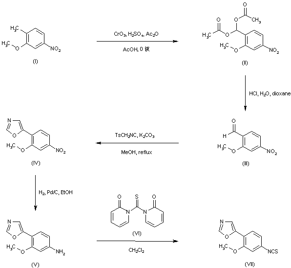
Oxidation of 2-methoxy-4-nitrotoluene (I) with CrO3 in the presence of sulfuric acid and acetic anhydride produced acylal (II), which was further hydrolyzed to the benzaldehyde (III) under acidic conditions. The isoxazole derivative (IV) was obtained by treatment of aldehyde (III) with tosylmethyl isocyanide in the presence of K2CO3 in refluxing methanol. Then, catalytic hydrogenation of the nitro group of (IV) over Pd/C afforded aniline (V).

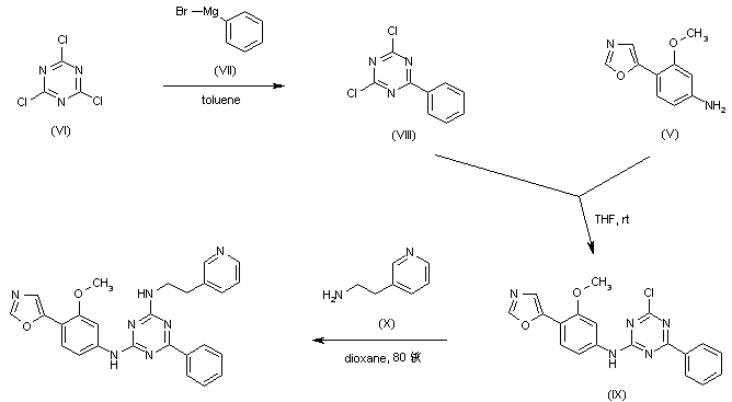
合成路线图解说明:

Addition of phenylmagnesium bromide (VII) to cyanuric chloride (VI) provided 2,4-dichloro-6-phenyltriazine (VIII). This was subsequently condensed with aniline (V) to afford the aminotriazine (IX). Finally, displacement of the remaining chlorine of (IX) with 2-(3-pyridyl)ethylamine (X) furnished the target diaminotriazine derivative.

合成路线图解说明:

Intermediate (VII) is prepared by the following route. Oxidation of 2-methoxy-4-nitrotoluene (I) by means of chromic acid in the presence of Ac2O affords acylal (II), which is further hydrolyzed to aldehyde (III) under acidic conditions. Treatment of benzaldehyde (III) with TOSMIC reagent in the presence of K2CO3 gives rise to the phenyl oxazole derivative (IV). Nitro group reduction in (IV) with H2 and Pd/C yields aniline (V). This is then converted into isothiocyanate (VII) employing 1,1'-thiocarbonyldi-2(2H)-pyridone (VI).

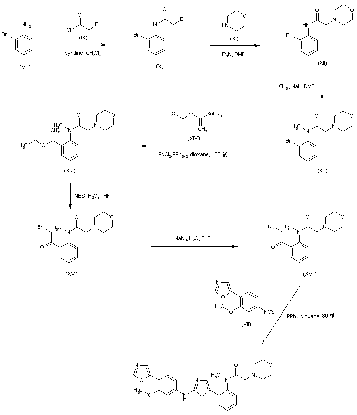
合成路线图解说明:

2-Bromoaniline (VIII) is acylated by bromoacetyl chloride (IX) in pyridine to produce the corresponding bromoacetanilide (X). Subsequent displacement of the aliphatic bromide of (X) with morpholine (XI) furnishes the morpholinoacetanilide (XII). Alkylation at the amide N of (XII) with iodomethane and NaH leads to the N-methyl amide (XIII). Stille coupling of aryl bromide (XIII) with tributyl (1-ethoxyvinyl)tin (XIV) yields the enol ether (XV). Bromination of enol ether (XV) with N-bromosuccinimide in moist THF produces the bromo acetophenone (XVI), which is further reacted with NaN3 to give the azido ketone (XVII). The target amino oxazole compound is finally obtained by condensation of azido ketone (XVII) with isothiocyanate (VII) in the presence of PPh3 in hot dioxane.

参考文献No.669059
标题:Discovery of N-[2-[2-[[3-methoxy-4-(5-oxazolyl)phenyl]-amino]-5-oxazolyl]phenyl]-N-methyl-4-morpholineacetamide as a novel and potent inhibitor of inosine monophosphate dehydrogenase with excellent in vivo activity
作者:Dhar, T.G.M.; Shen, Z.; Guo, J.; Liu, C.; Watterson, S.H.; Gu ,H.H.; Pitts, W.J.; Fleener, C.A.; Rouleau, K.A.; Sherbina, N.Z.; McIntyre, K.W.; Shuster, D.J.; Witmer, M.R.; Tredup, J.A.; Chen, B.C.; Zhao, R.; Bednarz, M.S.; Cheney, D.L.; et al.
来源:J Med Chem 2002,45(11),2127
合成路线图解说明:

In a related synthetic strategy, acylation of 2-bromoaniline (I) with acetoxyacetyl chloride (II) affords the acetoxy acetanilide (III). Alkylation of amide (III) with iodomethane and NaH leads to the N-methyl amide (IV). Then, Stille coupling of aryl bromide (IV) with tributyl (1-ethoxyvinyl)tin (V) gives rise to the enol ether (VI). Bromination of (VI) with N-bromosuccinimide in moist THF, followed by displacement of the resultant bromo ketone (VII) with NaN3 provides azido ketone (VIII). The key oxazole (X) is then obtained by condensation of azido ketone (VIII) with isothiocyanate (IX) in the presence of PPh3. Alkaline hydrolysis of the acetate ester (X) yields alcohol (XI), which is converted to mesylate (XII) by means of methanesulfonyl chloride and triethylamine. The mesylate group is finally displaced with morpholine (XIII) to furnish the title compound.

参考文献No.701689
标题:A modified approach to 2-(N-aryl)-1,3-oxazoles: application to the synthesis of the IMPDH inhibitor BMS-337197 and analogues
作者:Dhar, T.G.M.; Guo, J.; Shen, Z.; Pitts, W.J.; Gu, H.H.; Chen, B.C.; Zhao, R.; Bednarz, M.S.; Iwanowicz, E.J.
来源:Org Lett 2002,4(12),2091
合成路线图解说明:

In a related synthetic strategy, acylation of 2-bromoaniline (I) with acetoxyacetyl chloride (II) affords the acetoxy acetanilide (III). Alkylation of amide (III) with iodomethane and NaH leads to the N-methyl amide (IV). Then, Stille coupling of aryl bromide (IV) with tributyl (1-ethoxyvinyl)tin (V) gives rise to the enol ether (VI). Bromination of (VI) with N-bromosuccinimide in moist THF, followed by displacement of the resultant bromo ketone (VII) with NaN3 provides azido ketone (VIII). The key oxazole (X) is then obtained by condensation of azido ketone (VIII) with isothiocyanate (IX) in the presence of PPh3. Alkaline hydrolysis of the acetate ester (X) yields alcohol (XI), which is converted to mesylate (XII) by means of methanesulfonyl chloride and triethylamine. The mesylate group is finally displaced with morpholine (XIII) to furnish the title compound.

Drug Information Express,Drug R&D,Chemical Database,Patent Search.
Copyright © 2006-2026 Drug Future. All rights reserved.Contact Us