【药物名称】
化学结构式(Chemical Structure):
参考文献No.669058
标题:Arylamidrazones as novel corticotropin releasing factor receptor antagonists
作者:Wilson, D.M.; Termin, A.P.; Mao, L.; Ramirez-Weinhouse, M.M.; Molteni, V.; Gootenhuis, P.D.J.; Miller, K.; Keim, S.; Wise, G.
来源:J Med Chem 2002,45(11),2123
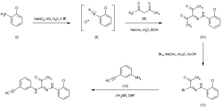
合成路线图解说明:

2-Chloroaniline (I) is diazotized with NaNO2/HCl and the resultant diazonium salt (II) is further coupled to 2,4-pentanedione (III) to furnish the diketo hydrazone (IV). Subsequent bromination of (IV) with Br2 in Ac2O/AcOH gives rise to the hydrazonyl bromide (V). This is finally condensed with 3-ethynylaniline (VI) in DMF to provide the corresponding aryl amidrazone.

Drug Information Express,Drug R&D,Chemical Database,Patent Search.
Copyright © 2006-2026 Drug Future. All rights reserved.Contact Us