【药物名称】[18F]-N-Me-FAMP
化学结构式(Chemical Structure):
参考文献No.669069
标题:Radiolabeled amino acids for tumor imaging with PET: Radiosynthesis and biological evaluation of 2-amino-3[18F]fluoro-2-methylpropanoic acid and 3-[18F]fluoro-2-methyl-2-(methylamino)propanoic acid
作者:McConathy, J.; Martarello, L.; Malveaux, E.J.; Camp, V.M.; Simpson, N.E.; Simpson, C.P.; Bowers, G.D.; Olson, J.J.; Goodman, M.M.
来源:J Med Chem 2002,45(11),2240
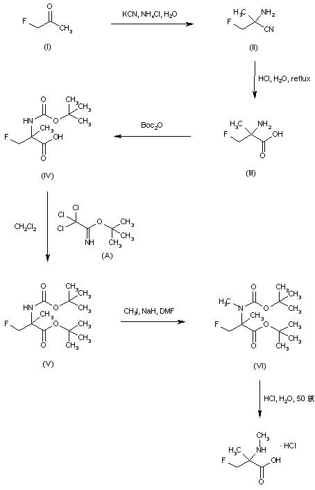
合成路线图解说明:

The nonradioactive aminoacid is prepared as follows. The Strecker reaction of fluoroacetone (I) with KCN and NH4Cl provides amino nitrile (II). Acid hydrolysis of (II) gives aminoacid (III), which is further protected as the N-Boc derivative (IV) by using di-t-butyl dicarbonate. Treatment of acid (IV) with t-butyl trichloroacetimidate produces the t-butyl ester (V). Subsequent alkylation of (V) with iodomethane and NaH affords the N-methyl derivative (VI). The protecting groups of (VI) are finally removed by acidic hydrolysis to produce the free aminoacid.

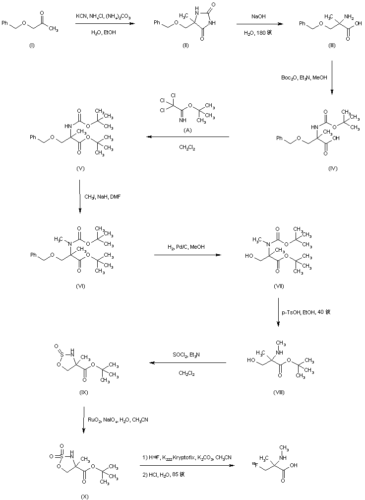
合成路线图解说明:

The [18F]-labeled compound is prepared as follows. Benzyloxy acetone (I) is treated with KCN and buffered (NH4)2CO3 to produce hydantoin (II). Alkaline hydrolysis of (II), followed by treatment of the crude aminoacid (III) with Boc2O gives the Boc-protected aminoacid (IV). The esterification of (IV) by means of t-butyl trichlroacetimidate affords the t-butyl ester (V), which is N-methylated with MeI and NaH to give compound (VI). Catalytic hydrogenolysis of the benzyl ether group of (VI) yields alcohol (VII). Selective removal of the N-Boc group of (VII) in the presence of the t-butyl ester to furnish (VIII) is achieved with p-toluenesulfonic acid in hot ethanol. Reaction of amino alcohol (VIII) with SOCl2 produces the cyclic sulfamidite (IX), which is further oxidized to sulfamidate (X) with NaIO4 in the presence of a catalytic amount of RuO2. The radiolabeled aminoacid is then obtained by treatment of (X) with [18F]-fluoride, followed by acidic cleavage of the t-butyl ester group.

Drug Information Express,Drug R&D,Chemical Database,Patent Search.
Copyright © 2006-2026 Drug Future. All rights reserved.Contact Us