【药物名称】
化学结构式(Chemical Structure):
参考文献No.55106
标题:Amino acid analogs for tumor imaging
作者:Goodman, M.M.; Shoup, T. (Emory University)
来源:WO 9717092
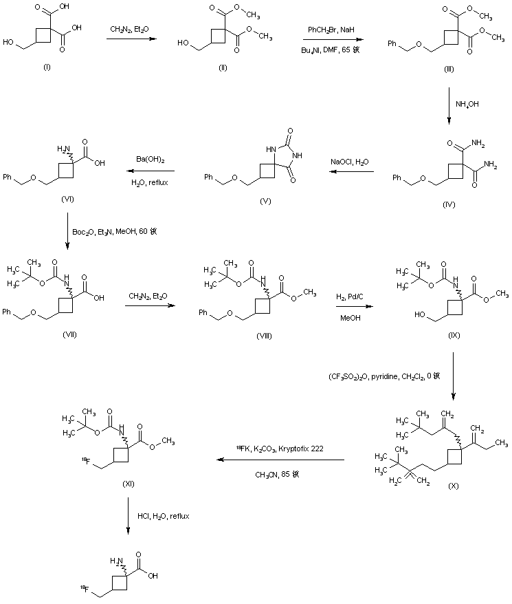
合成路线图解说明:

3-(Hydroxymethyl)cyclobutane-1,1-dicarboxylic acid (I) is converted into the dimethyl ester (II) upon treatment with an Et2O solution of diazomethane. The hydroxyl group of (II) is subsequently protected as the benzyl ether (III) by means of benzyl bromide in the presence of NaH and Bu4NI. Aminolysis of (III) with aqueous ammonia produces diamide (IV). Treatment of (IV) with NaOCl under Hofmann rearrangement conditions produces hydantoin (V) as a diastereomeric mixture. Further hydrolysis of (V) employing Ba(OH)2 leads to aminoacid (VI). After protection of the amino group as the N-Boc derivative (VII), treatment with diazomethane in Et2O furnishes the N-Boc amino ester (VIII). The O-benzyl group of (VIII) is then removed by hydrogenolysis over Pd/C, producing alcohol (IX), which is further reacted with trifluoromethanesulfonic anhydride and pyridine to yield triflate (X). Displacement of the triflate group with [18F]-potassium fluoride in the presence of K2CO3 and Kryptofix affords the [18F]-labeled fluoride (XI). Finally, hydrolysis of the methyl ester and N-Boc groups of (XI) under acidic conditions gives rise to the target radiofluorinated aminoacid as a diastereomeric mixture.

参考文献No.669070
标题:Synthesis of syn- and anti-1-amino-3-[18F]fluoromethyl-cyclobutane-1-carboxylic acid (FMACBC9, potential PET ligands for tumor detection
作者:Martarello, L.; McConathy, J.; Camp, V.M.; Malveaux, E.J.; Simpson, N.E.; Simpson, C.P.; Olson, J.J.; Bowers, G.D.; Goodman, M.M.
来源:J Med Chem 2002,45(11),2250
合成路线图解说明:

A synthesis leading to the pure anti isomer has also been reported. Cycloaddition of dichloroketene, generated in situ from trichloroacetyl chloride and Zn-Cu couple, to allyl benzyl ether (I) produces the dichloro cyclobutanone (II). Subsequent reduction of the dichloro compound (II) with Zn dust in AcOH gives 3-(benzyloxymethyl)cyclobutanone (III). Reaction of cyclobutanone (III) with KCN and (NH4)2CO3 furnishes a mixture of the isomeric hydantoins (IV) and (V), separable by column chromatography. The minor anti isomer (V) is subsequently hydrolyzed under alkaline conditions to provide aminoacid (VI). After protection of (VI) as the N-Boc derivative (VII), treatment with t-butyl trichloroacetimidate gives the tert-butyl ester (VIII). Removal of the O-benzyl group of (VIII) by catalytic hydrogenolysis, followed by treatment of the resultant alcohol (IX) with methanesulfonyl chloride provides mesylate (X). The mesylate group of (X) is then displaced with [18F]-potassium fluoride to afford the [18F]-labeled fluoride (XI). Finally, acidic hydrolysis of the N-Boc amino ester (XI) yields the title radiofluorinated compound.

Drug Information Express,Drug R&D,Chemical Database,Patent Search.
Copyright © 2006-2026 Drug Future. All rights reserved.Contact Us