【药物名称】
化学结构式(Chemical Structure):
参考文献No.669080
标题:Nonpeptide bradykinin B2 receptor antagonists: Conversion of rodent-selective bradyzide analogues into potent, orally-active human bradykinin B2 receptor antagonists
作者:Dziadulewicz, E.K.; Ritchie, T.J.; Hallett, A.; Snell, C.R.; Davies, J.W.; Wrigglesworth, R.; Dunstan, A.R.; Bloomfield, G.C.; Drake, G.S.; McIntyre, P.; Brown, M.C.; Burgess, G.M.; Lee, W.; Davis, C.; Yaqoob, M.; Phagoo, S.B.; Phillips, E.; et al.
来源:J Med Chem 2002,45(11),2160
合成路线图解说明:

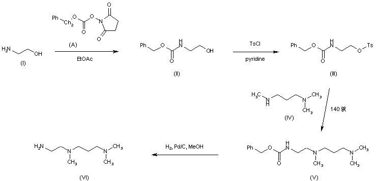
The precursor triamine (VI) is prepared as follows. Ethanolamine (I) is protected as the N-Cbz derivative (II) upon treatment with N-(benzyloxycarbonyloxy)succinimide. Subsequent tosylation of (II) to yield (III), followed by displacement of the tosylate of (III) with trimethyl propanediamine (IV) furnishes the protected triamine (V). Then, Cbz group hydrogenolysis in (V) in the presence of Pd/C gives rise to triamine (VI).

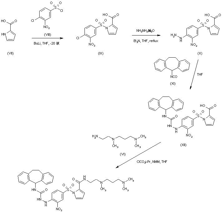
合成路线图解说明:

Sulfonylation of pyrrole-2-carboxylic acid (VII) with 4-chloro-3-nitrobenzenesulfonyl chloride (VIII) in the presence of butyllithium leads to sulfonamide (IX). Chloride displacement in (IX) with hydrazine hydrate in refluxing THF affords the phenylhydrazine derivative (X). This is further coupled with isocyanate (XI) to produce the semicarbazide (XII). Finally, condensation of carboxylic acid (XII) with amine (VI), via activation as the mixed anhydride with isopropyl chloroformate, yields the title pyrrolecarboxamide.

Drug Information Express,Drug R&D,Chemical Database,Patent Search.
Copyright © 2006-2026 Drug Future. All rights reserved.Contact Us