【药物名称】
化学结构式(Chemical Structure):
参考文献No.55382
标题:Tyrosine kinase inhibitors
作者:Hungate, R.W.; Fraley, M.E.; Hambaugh, S.R. (Merck & Co., Inc.)
来源:JP 2003512353; US 6479512; WO 0128993
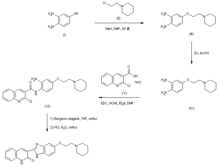
合成路线图解说明:

Alkylation of 4-amino-3-nitrophenol (I) with 1-(2-chloroethyl)piperidine (II) provides ether (III). Subsequent nitro group reduction in (III) to afford diamine (IV) is performed by means of zinc powder in AcOH. Coupling of diamine (IV) with 2-chloroquinoline-3-carboxylic acid (V) furnishes amide (VI). Then, intramolecular cyclization of amino amide (VI) with Burgess reagent, followed by hydrolysis in boiling 6 M HCl gives rise to the title benzimidazolyl quinolinone.

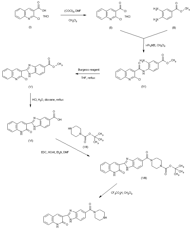
合成路线图解说明:

Treatment of 2-chloroquinoline-3-carboxylic acid (I) with oxalyl chloride affords acid chloride (II), which is subsequently coupled with methyl 3,4-diaminobenzoate (III) to yield amide (IV). Intramolecular cyclization of amino amide (IV) with Burgess reagent in refluxing THF produces the benzimidazole (V). Then, acidic hydrolysis of both methyl ester and chloroquinoline functions of (V) gives rise to the carboxylic acid (VI). Coupling of (VI) with N-Boc-piperazine (VII) furnishes amide (VIII). The N-Boc protecting group of (VIII) is finally removed by treatment with trifluoroacetic acid in CH2Cl2.

Drug Information Express,Drug R&D,Chemical Database,Patent Search.
Copyright © 2006-2026 Drug Future. All rights reserved.Contact Us