【药物名称】
化学结构式(Chemical Structure):
参考文献No.42770
标题:Quinolizinones as integrin inhibitors
作者:Attardo, G.; Lamothe, S.; Rej, R.; Zacharie, B.; Falardeau, G.; Labrecque, D.; Courchesne, M.; Abbott, S. (Shire BioChem Inc.)
来源:EP 1115724; US 6630488; WO 0017197
合成路线图解说明:

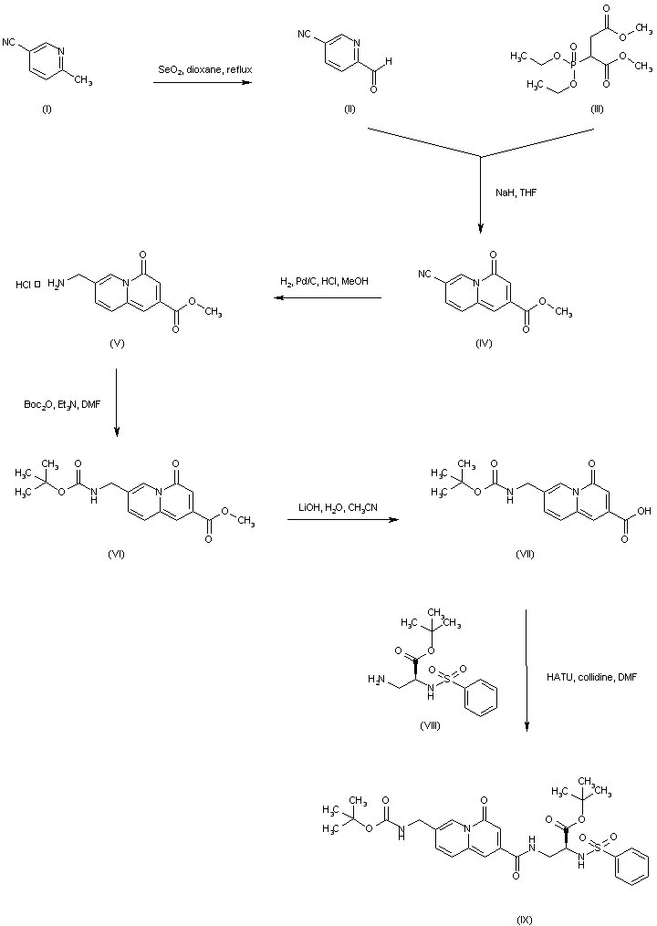
6-Methylnicotinonitrile (I) is oxidized by means of SeO2 in refluxing dioxane to furnish aldehyde (II). Subsequent condensation of (II) with dimethyl 2-(diethoxyphosphoryl)succinate (III) gives rise to the quinolizine derivative (IV). The cyano group of (IV) is then reduced to the primary amine (V) by catalytic hydrogenation over Pd/C. After protecting amine (V) as the corresponding N-Boc derivative (VI), alkaline hydrolysis of the methyl ester group provides acid (VII) (1). Coupling of acid (VII) with (S) t-butyl 3-amino-2-(benzenesulfonylamino)propionate (VIII) by means of HATU leads to amide (IX) (1,2).

合成路线图解说明:

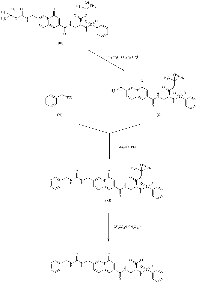
Selective deprotection of the N-Boc group of (IX) is accomplished by means of trifluoroacetic acid in CH2Cl2 at 0 C. The resultant primary amine (X) is then coupled to benzyl isocyanate (XI) to furnish urea (XII). Then, acidic cleavage of the tert-butyl ester group of (XII) leads to the title carboxylic acid (1,2).

参考文献No.665709
标题:Synthesis and in vitro potency of quinolizinone-based alphavbeta3 receptor antagonists
作者:Rej, R.; Lamothe, S.; Zacharie, B.; Labrecque, D.; Courchesne, M.; Falardeau, G.; Abbot, S.; Wang, W.; Chan, L.; Meerovitch, K.; Bergeron, F.; Attardo, G.
来源:Proc Am Assoc Cancer Res 2002,43
合成路线图解说明:

6-Methylnicotinonitrile (I) is oxidized by means of SeO2 in refluxing dioxane to furnish aldehyde (II). Subsequent condensation of (II) with dimethyl 2-(diethoxyphosphoryl)succinate (III) gives rise to the quinolizine derivative (IV). The cyano group of (IV) is then reduced to the primary amine (V) by catalytic hydrogenation over Pd/C. After protecting amine (V) as the corresponding N-Boc derivative (VI), alkaline hydrolysis of the methyl ester group provides acid (VII) (1). Coupling of acid (VII) with (S) t-butyl 3-amino-2-(benzenesulfonylamino)propionate (VIII) by means of HATU leads to amide (IX) (1,2).

合成路线图解说明:

Selective deprotection of the N-Boc group of (IX) is accomplished by means of trifluoroacetic acid in CH2Cl2 at 0 C. The resultant primary amine (X) is then coupled to benzyl isocyanate (XI) to furnish urea (XII). Then, acidic cleavage of the tert-butyl ester group of (XII) leads to the title carboxylic acid (1,2).

Drug Information Express,Drug R&D,Chemical Database,Patent Search.
Copyright © 2006-2026 Drug Future. All rights reserved.Contact Us