【药物名称】RPR-238677
化学结构式(Chemical Structure):
参考文献No.669062
标题:An algorithm-directed two-component library synthesized via solid-phase methodology yielding potent and orally bioavailable p38 MAP kinase inhibitors
作者:McKenna, J.M.; Halley, F.; Souness, J.E.; McLay, I.M.; Pickett, S.D.; Collis, A.J.; Page, K.; Ahmed, I.
来源:J Med Chem 2002,45(11),2173
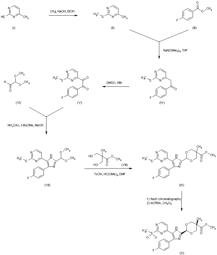
合成路线图解说明:

Alkylation of 2-mercapto-4-methylpyrimidine (I) with iodomethane and NaOH affords 2-methylthio-4-methylpyrimidine (II). Condensation of (II) with methyl 4-fluorobenzoate (III) in the presence of sodium hexamethyldisilazide produces ketone (IV), which is further oxidized to dione (V) with DMSO/HBr. Ring closure of dione (V) with glyoxal dimethyl acetal (VI) in the presence of ammonium acetate leads to imidazole (VII). Acid-catalyzed transketalization of (VII) with the dihydroxy ester (VIII) yields the 1,3-dioxane derivative (IX) as a 3:2 mixture of cis- and trans- isomers. After chromatographic separation of the desired trans- isomer, oxidation of the methylthio group with mCPBA furnishes sulfone (X)

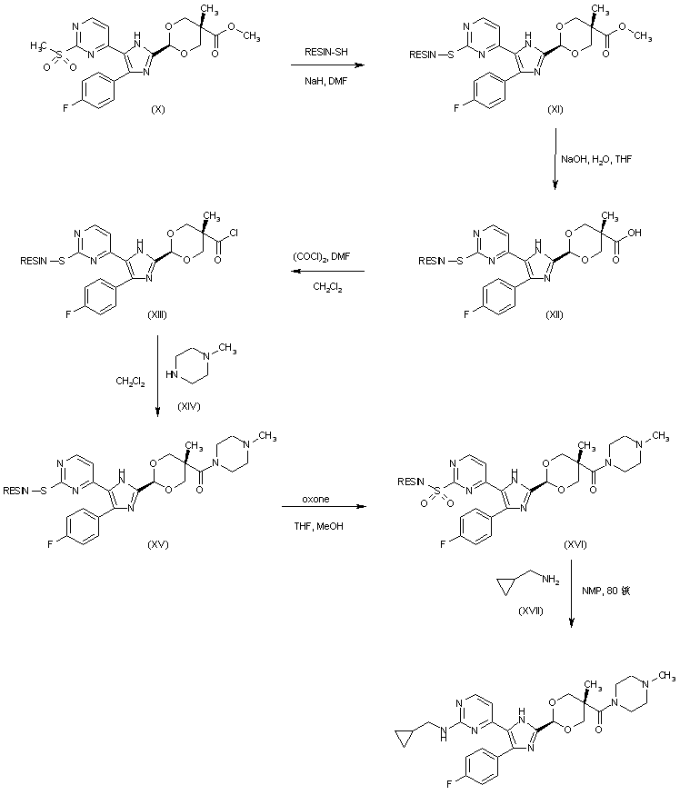
合成路线图解说明:

Attachment of the sulfonylpyrimidine (X) to a Merrifield thiol resin in the presence of NaH in DMF provides resin-bounded compound (XI). Then, saponification of the methyl ester group of (XI) yields carboxylic acid (XII). After formation of the corresponding acid chloride (XIII), coupling with N-methylpiperazine (XIV) gives rise to amide (XV). Sulfide group oxidation in (XV) leads to the sulfonylpyrimidine resin (XVI). Finally, cleavage from the resin in the presence of cyclopropylmethylamine (XVII) in hot NMP affords the target 2-aminopyrimidine derivative

Drug Information Express,Drug R&D,Chemical Database,Patent Search.
Copyright © 2006-2026 Drug Future. All rights reserved.Contact Us