【药物名称】TNF-484, SDZ-242-484, PKF-242-484
化学结构式(Chemical Structure):
参考文献No.36278
标题:Hydroxamic acid derivs.
作者:Kottirsch, G.; Neumann, U. (Novartis AG)
来源:EP 0929517; JP 2000508338; US 2002003804; US 6500983; WO 9814424
合成路线图解说明:

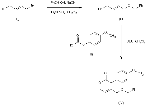
The intermediate phenylacetic acid allyl ester (IV) is prepared by two methods. Reaction of trans-1,4-dibromo-2-butene (I) with benzyl alcohol under phase-transfer conditions provides the benzyl ether (II). Subsequent DBU-mediated coupling of (II) with (4-methoxyphenyl)acetic acid (III) yields ester (IV).

合成路线图解说明:

Allyl ester (IV) is subjected to Claisen-Ireland rearrangement in the presence of strong bases to produce a diastereomeric mixture of pentenoic acids, from which the desired isomer (IX) can be isolated via crystallization of its (S)-phenylethylamine salt. Subsequent coupling of acid (IX) with tert-leucine methylamide (X) provides amide (XI). Oxidative cleavage of the terminal olefin of (XI) to aldehyde (XII) is performed by either treatment with NaIO4 or by ozonolysis. Aldehyde (XII) is further oxidized to the carboxylic acid (XIII) employing NaClO2. Coupling of acid (XIII) with O-benzyl hydroxylamine yields the benzyl-protected hydroxamate (XIV). The title compound is finally obtained by hydrogenolysis of the benzyl groups of (XIV) in the presence of Pd/BaSO4.

参考文献No.669074
标题:beta-Aryl-succinic acid hydroxamates as dual inhibitors of matrix metalloproteinases and tumor necrosis factor alpha converting enzyme
作者:Kottirsch, G.; Koch, G.; Feifel, R.; Neumann, U.
来源:J Med Chem 2002,45(11),2289
合成路线图解说明:

The intermediate phenylacetic acid allyl ester (IV) is prepared by two methods. Reaction of trans-1,4-dibromo-2-butene (I) with benzyl alcohol under phase-transfer conditions provides the benzyl ether (II). Subsequent DBU-mediated coupling of (II) with (4-methoxyphenyl)acetic acid (III) yields ester (IV).

合成路线图解说明:

Allyl ester (IV) is subjected to Claisen-Ireland rearrangement in the presence of strong bases to produce a diastereomeric mixture of pentenoic acids, from which the desired isomer (IX) can be isolated via crystallization of its (S)-phenylethylamine salt. Subsequent coupling of acid (IX) with tert-leucine methylamide (X) provides amide (XI). Oxidative cleavage of the terminal olefin of (XI) to aldehyde (XII) is performed by either treatment with NaIO4 or by ozonolysis. Aldehyde (XII) is further oxidized to the carboxylic acid (XIII) employing NaClO2. Coupling of acid (XIII) with O-benzyl hydroxylamine yields the benzyl-protected hydroxamate (XIV). The title compound is finally obtained by hydrogenolysis of the benzyl groups of (XIV) in the presence of Pd/BaSO4.

参考文献No.701680
标题:Process development of a dual MMP/TNF inhibitor (SDZ 242-484)
作者:Koch, G.; Kottirsch, G.; Wietfeld, B.; K黶ters, E.
来源:Org Process Res Dev 2002,6(5),652
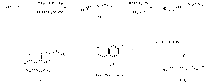
合成路线图解说明:

In an alternative synthesis of (IV), alkylation of propargyl alcohol (V) with benzyl bromide in a two-phase system gives ether (VI). Subsequent addition of paraformaldehyde to the lithium acetylide derived from (VI) furnishes alcohol (VII). Selective reduction of acetylene (VII) to the trans olefin (VIII) is accomplished by means of Red-Al in cold THF. The allylic alcohol (VIII) is then esterified with (4-methoxyphenyl)acetic acid (III) in the presence of DCC to form ester (IV).

合成路线图解说明:

Allyl ester (IV) is subjected to Claisen-Ireland rearrangement in the presence of strong bases to produce a diastereomeric mixture of pentenoic acids, from which the desired isomer (IX) can be isolated via crystallization of its (S)-phenylethylamine salt. Subsequent coupling of acid (IX) with tert-leucine methylamide (X) provides amide (XI). Oxidative cleavage of the terminal olefin of (XI) to aldehyde (XII) is performed by either treatment with NaIO4 or by ozonolysis. Aldehyde (XII) is further oxidized to the carboxylic acid (XIII) employing NaClO2. Coupling of acid (XIII) with O-benzyl hydroxylamine yields the benzyl-protected hydroxamate (XIV). The title compound is finally obtained by hydrogenolysis of the benzyl groups of (XIV) in the presence of Pd/BaSO4.

Drug Information Express,Drug R&D,Chemical Database,Patent Search.
Copyright © 2006-2026 Drug Future. All rights reserved.Contact Us