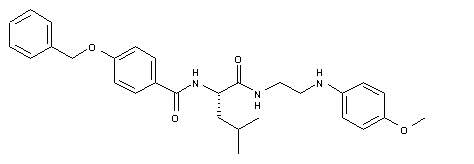
【药物名称】
化学结构式(Chemical Structure):
参考文献No.44709
标题:Arylaminoalkylamides
作者:Missbach, M.; Altmann, E.; Lattmann, R.; Renaud, J. (Novartis AG)
来源:WO 0048993
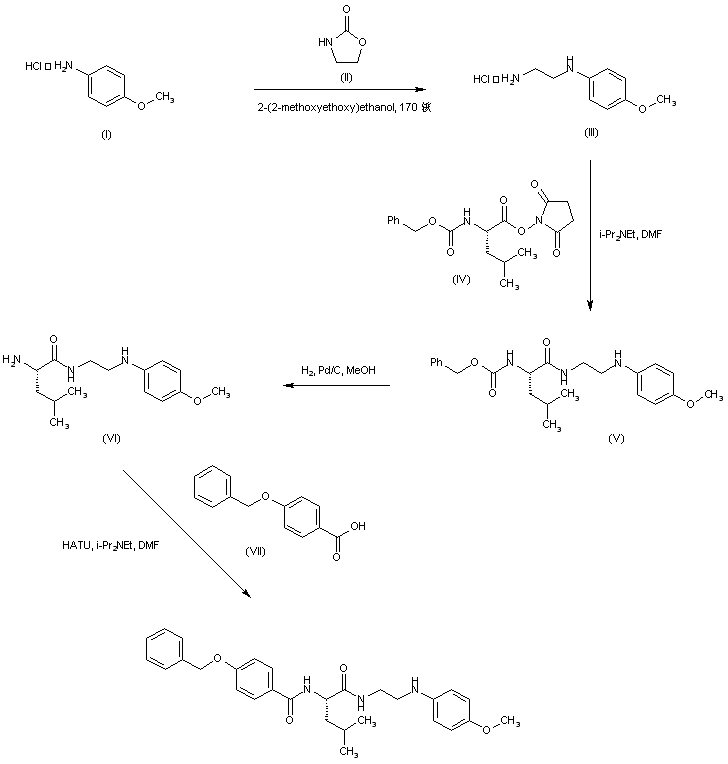
合成路线图解说明:

Condensation of p-anisidine (I) with 2-oxazolidinone (II) in hot 2-(2-methoxyethoxy)ethanol affords the N-aryl ethanediamine (III). This is then coupled with the succinimidyl ester of N-Z-L-leucine (IV) to furnish amide (V). The N-carbobenzoxy group of (V) is further removed by catalytic hydrogenation, providing amine (VI), which is finally acylated by 4-(benzyloxy)benzoic acid (VII) by means of HATU to yield the title compound.

参考文献No.672298
标题:Arylaminoethyl amides as novel non-covalent cathepsin K inhibitors
作者:Altmann, E.; Renaud, J.; Green, J.; Farley, D.; Cutting, B.; Jahnke, W.
来源:J Med Chem 2002,45(12),2352
合成路线图解说明:

Condensation of p-anisidine (I) with 2-oxazolidinone (II) in hot 2-(2-methoxyethoxy)ethanol affords the N-aryl ethanediamine (III). This is then coupled with the succinimidyl ester of N-Z-L-leucine (IV) to furnish amide (V). The N-carbobenzoxy group of (V) is further removed by catalytic hydrogenation, providing amine (VI), which is finally acylated by 4-(benzyloxy)benzoic acid (VII) by means of HATU to yield the title compound.

Drug Information Express,Drug R&D,Chemical Database,Patent Search.
Copyright © 2006-2026 Drug Future. All rights reserved.Contact Us