【药物名称】NSC-711616
化学结构式(Chemical Structure):
参考文献No.672295
标题:Synthesis and antitumor activity of 1,5,6-substituted E-3-(2-chloro-3-indolylmethylene)-1,3-dihydroindol-2-ones
作者:Andreani, A.; Granaiola, M.; Leoni, A.; Locatelli, A.; Morigi, R.; Rambaldi, M.; Garaliene, V.
来源:J Med Chem 2002,45(12),2666
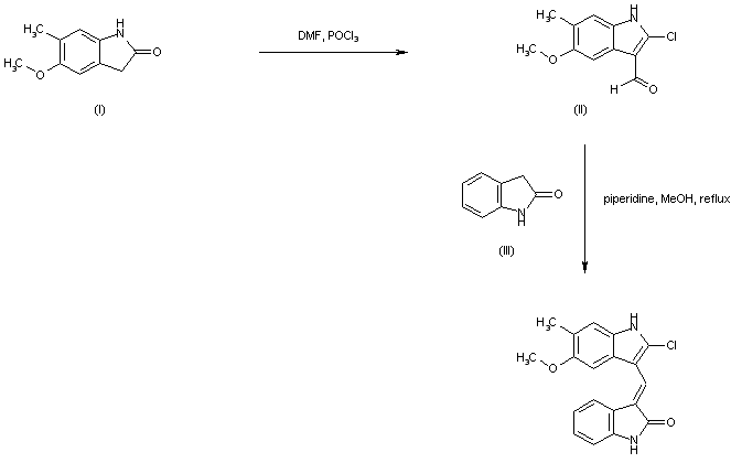
合成路线图解说明:

The Vilsmeier formylation of 5-methoxy-6-methyloxindole (I) with DMF/POCl3 gives rise to the chloro aldehyde (II). This is then condensed with oxindole (III) in methanol in the presence of piperidine to furnish the target bis-indole derivative.

Drug Information Express,Drug R&D,Chemical Database,Patent Search.
Copyright © 2006-2026 Drug Future. All rights reserved.Contact Us